Бизнес-план Организация услуги швартовки судов к причалу

Бизнес-план Организация услуги швартовки судов к причалу Бизнес-план Организация услуги швартовки судов к причалу

О РГАНИЗАЦИЯ УСЛУГИ ШВАРТОВКИ СУДОВ К ПРИЧАЛУ

С ПОМОЩЬЮ БУКСИРА В МОРСКОМ ПОРТУ ГЕЛЕНДЖИК

БИЗНЕС-ПЛАН

Организация услуги швартовки судов к причалу с помощью буксира в морском порту

Организация услуги швартовки судов к причалу с помощью буксира в морском порту

Июль, 2015 г.

Оглавление

Оглавление 2

Перечень иллюстраций (диаграммы, схемы, рисунки) 4

Перечень таблиц 5

Методологические комментарии к бизнес-плану 6

1. РЕЗЮМЕ ПРОЕКТА 8

2. СУЩНОСТЬ ПРЕДЛАГАЕМОГО ПРОЕКТА 11

2.1 Общее описание проекта и предполагаемых услуг 11

2.2 Информация об участниках проекта 13

2.3 Месторасположение проекта 14

3. МАРКЕТИНГОВЫЙ ПЛАН 15

3.1 Обзор рынка услуг швартовки в морском порту Геленджик 15

3.2 Основные тенденции на рынке 18

3.3 Анализ потребителей. Сегментация потребителей 18

3.4 Ценообразование на рынке 20

4. ОРГАНИЗАЦИОННЫЙ ПЛАН 21

4.1 План по персоналу 21

4.2 План-график работ по проекту 21

4.3 Источники, формы и условия финансирования 22

5. ПРОИЗВОДСТВЕННЫЙ ПЛАН 23

5.1 Описание процесса предоставления услуг 23

5.2 Описание буксира для оказания услуг швартовки 24

5.3 Прочие технологические вопросы 26

6. ФИНАНСОВЫЙ ПЛАН 28

6.1 Исходные данные и допущения 28

6.2 Номенклатура и цены 30

6.3 Инвестиционные издержки 30

6.4 Лизинг 31

6.5 Налоговые отчисления 31

6.6 Операционные издержки (постоянные и переменные) 33

6.7 Расчет себестоимости 34

6.8 План предоставления услуг 35

6.9 Расчет выручки 36

6.10 Прогноз прибылей и убытков 36

6.11 Прогноз движения денежных средств 38

6.12 Анализ эффективности проекта 39

6.12.1 Методика оценки эффективности проекта 39

6.12.2 Показатели эффективности проекта 42

7. АНАЛИЗ РИСКОВ ПРОЕКТА 44

7.1 Варианты проекта (оптимистичный и пессимистичный 44

7.2 Точка безубыточности проекта 47

8. ПРИЛОЖЕНИЯ 48

8.1 График лизинговых платежей 48

8.2 Отчет о движении денежных средств по месяцам, тыс. руб. 49

9. Информация об исполнителе проекта 50

Перечень иллюстраций (диаграммы, схемы, рисунки)

Рисунок 1.1 Требуемый объем инвестиций 9

Рисунок 1.2 График NPV проекта 10

Рисунок 3.1. Буксир-кантовщик «Генерал Раевский» 15

Рисунок 3.2. Сегментация потребителей услуг швартовки 19

Рисунок 4.1. График реализации проекта 22

Рисунок 4.2. Структура инвестиционных вложений по направлениям затрат 22

Рисунок 5.1. Маневрирование судна при швартовке кормой с использованием буксира 23

Рисунок 5.2. Внешний вид приобретаемого буксира 25

Рисунок 6.1. Сезонность потребления услуг, кол-во выполненных операций 35

Рисунок 6.2 График NPV проекта 43

Рисунок 7.1 График NPV проекта «Оптимистичный вариант» 45

Рисунок 7.2 График NPV проекта «Пессимистичный вариант» 46

Рисунок 7.3 График точки безубыточности 47

Перечень таблиц

Таблица 1.1 График реализации проекта 8

Таблица 1.2 Основные финансовые показатели 9

Таблица 3.1. Буксирный флот морского порта Геленджик 15

Таблица 3.2. Количество выполненных буксирных операций в порту Геленджик 16

Таблица 3.3. Сведения о минимальном количестве и мощности буксиров 16

Таблица 3.4. Сведения о технических возможностях морского порта в части приема судов и причалах 17

Таблица 3.5. Средние цены на буксирные услуги в Азово-Черноморском бассейновом филиале 20

Таблица 4.1. Формирование ФОТ и штатного расписания предприятия, тыс. руб. 21

Таблица 4.2 График реализации проекта 21

Таблица 5.1. Технические характеристики судна 24

Таблица 5.2. Готовность судна 26

Таблица 6.1. Определение стоимости собственного капитала 29

Таблица 6.2. Определение ставки дисконтирования 29

Таблица 6.3 Инвестиционные издержки проекта, тыс. руб. 30

Таблица 6.4. Условия лизинга 31

Таблица 6.5 Налоговое окружение 32

Таблица 6.6 Налоговые отчисления в 2015-2022 гг., тыс. руб. 32

Таблица 6.7 Постоянные издержки, тыс. руб. 33

Таблица 6.8 Переменные издержки, тыс. руб. 34

Таблица 6.9. Расчет себестоимости 1 операции швартовки 34

Таблица 6.10. План предоставления услуг в 2016-2022 гг., кол-во выполненных операций 35

Таблица 6.11 План выручки в 2016-2022 гг., тыс. руб. 36

Таблица 6.12 Отчет о прибылях и убытках, тыс. руб. 36

Таблица 6.13 Прогноз движения денежных средств, тыс. руб. 38

Таблица 6.14 Показатели эффективности инвестиций 42

Таблица 7.1 Показатели эффективности инвестиций «Оптимистичный вариант» 44

Таблица 7.2 Показатели эффективности инвестиций «Пессимистичный вариант» 45

Методологические комментарии к бизнес-плану

Настоящий бизнес-план представляет собой проект осуществления бизнес-операций, действий фирмы, содержащий сведения о фирме, товаре, его производстве, рынках сбыта, маркетинге, организации операций и их эффективности.

Период планирования – 2015-2022 гг.

Объект и предмет исследования и бизнес-планирования

Объектом исследования являются услуги швартовых операций в морском порту Геленджик, оказываемые с помощью буксира.

Предметом исследования является рынок услуг швартовки.

Цели и задачи бизнес-плана

Цель бизнес-планирования: оценка экономической эффективности оказания услуг швартовки с помощью буксира в морском порту Геленджик.

Задачи бизнес-планирования:

    Оценка экономической эффективности проекта;

    Обоснование инвестиционных средств на реализацию проекта;

    Оценка объема, емкости и структуры рынка;

    Анализ потребителей и основных конкурентов;

    Оценка тенденций и перспектив развития рынка.

Источники информации

    Отраслевая статистика;

    Данные государственных структур;

    Специализированные базы данных Агентства «MegaResearch»;

    Рейтинги;

    Информационные ресурсы участников рынка;

    Отраслевые и специализированные информационные порталы;

    Материалы сайтов исследуемой тематики (web-ресурсы производителей и поставщиков, электронные торговые площадки, доски объявлений, специализированные форумы, Интернет-магазины);

    Региональные и федеральные СМИ;

    Порталы раскрытия информации (отчетность открытых акционерных обществ).

Распространение бизнес-плана

Материалы Бизнес-плана не предназначены для широкого распространения или публикации. При предоставлении бизнес-плана пользователям до их сведения должны быть доведены цели данного документа, допущения, принятые для его составления, а также все существующие ограничения по использованию.

Объем анализа

Бизнес-план подготовлен на основании информации, полученной из общедоступных источников.

Ограничение ответственности

Все мнения, выводы и оценки, содержащиеся в настоящем бизнес-плане действительны на дату его составления. Исполнитель не несет ответственности за изменение экономических, политических, социальных и иных условий, которые могут оказать влияние на обоснованность данных суждений.

Исполнитель не несет ответственности за какие-либо убытки или ущерб, понесенные третьей стороной в результате использования информации данного бизнес-плана.

Используемые сокращения

ФСГС – Федеральная служба государственной статистики;

ФТС – Федеральная таможенная служба.

    РЕЗЮМЕ ПРОЕКТА

Целью данного проекта является обоснование эффективности оказания услуг по швартовке судов к причалу в морском порту Геленджик, оказываемые с помощью буксира.

Во многих портах по местным портовым правилам, а в портах России в соответствии с Обязательным постановлением по порту, суда (в зависимости от тоннажа) обязаны пользоваться буксирами при швартовных операциях. По своим тактическим и маневренным качествам эти суда должны выполнять роль вспомогательного средства в швартовных операциях. Обычно в стесненной обстановке в порту при сильном ветре или течении используют один или несколько буксиров.

Для реализации проекта планируется приобретение рейдового буксира … Стоимость буксира составляет ... руб. с НДС.

Этапы реализации проекта приведены в таблице:

Таблица 1.1 График реализации проекта

Этап проекта

Начало работ

Длительность, дней

Конец работ

Закупка оборудования

Поставка оборудования

Привлечение персонала

Начало работы

Источник: анализ и расчеты MegaResearch

Инвестиции

Объем инвестиционных вложений в реализацию проекта составляет ... руб . Период окупаемости рассматриваемого проекта составляет … с учетом дисконтирования.

Рисунок 1.1 Требуемый объем инвестиций

Рисунок 1.1 Требуемый объем инвестиций

Подготовительные работы

Подготовительные работы

Собственные средства

**% от инвестиций

**% от инвестиций

... руб.

... руб.

... руб.

Оборудование

Требуемый

объем инвестиций

... руб.

... руб.

Заемные средства (лизинг)

**% от инвестиций

**% от инвестиций

... руб.

... руб.

Дополнительные расходы

Источник: расчеты MegaResearch

Основные финансовые показатели по проекту представлены в таблице:

Таблица 1.2 Основные финансовые показатели

Показатели эффективности инвестиций

Значение

Период расчета (горизонт планирования), мес.

Чистый доход (NV), тыс. руб.

Чистый дисконтированный доход (NPV), тыс. руб.

Внутренняя норма доходности (IRR), % в год

Индекс доходности (PI), ед.

Период окупаемости (PB), мес.

Дисконтированный период окупаемости (DPB), мес.

Инвестиции в проект, тыс. руб.

Средняя рентабельность продаж по проекту, %

Чистая прибыль (накопительная), тыс. руб.

Ставка дисконтирования, %

* Определение понятий финансовых показателей представлено в разделе 6.12 данного бизнес-плана

Источник: расчеты MegaResearch

На рисунке 1.2 показан график NPV проекта по годам его реализации. На графике NPV видно возрастание чистой приведенной стоимости проекта по годам:

Рисунок 1.2 График NPV проекта

Рисунок 1.2 График NPV проекта

Источник: расчеты MegaResearch

По данным исследования видно, что проект является выгодным. Чистый дисконтированный доход проекта на 2022 год составит .. . руб.

    СУЩНОСТЬ ПРЕДЛАГАЕМОГО ПРОЕКТА

      Общее описание проекта и предполагаемых услуг

В международной транспортной сфере в качестве отдельного сегмента особо выделяется водный транспорт, на долю которого приходится большая часть внешнеторговых перевозок. Основной инфраструктурной составляющей транспортной сферы являются морские порты, которые осуществляют множество операций, начиная от перевозки пассажиров и перевалки грузов, до предоставления услуг по их хранению и обеспечению судоремонтных работ. По своей структуре, морские порты являются сложным логистическим комплексом инженерных сооружений и устройств, расположенных на прибрежных территориях. Согласно девятой статье Кодекса торгового мореплавания РФ, под морским портом понимается совокупность объектов инфраструктуры морского порта, расположенных на специально отведённой территории и акватории и предназначенных для обслуживания судов рыбопромыслового флота, обслуживании пассажиров, осуществления операций с грузами, в том числе их перевалки, и других работ, обычно оказываемых в морских портах, а также взаимодействия с другими видами транспорта.

В состав морских портов входят портовая территория и акватория, гидротехнический и инженерный сооружения и другие объекты, осуществляющие основные функции деятельности порта. Под акваторией принято понимать водную часть морского порта в определённых границах, в которых происходит маневрирование и стоянка судов. В состав акваторий могут входить: подходные каналы, рейды и внутренние бассейны. Подходными каналами называются участки искусственного углубления акватории, которые связывают порт с естественными глубинами. Рейды – это участки ожидания судов при входе и выходе из порта. Участки акватории, прилегающие непосредственно к причалам, на которых осуществляется погрузочная и прочие операции, называются внутренними бассейнами.

Особенностью современных морских портов является то, что, помимо деятельности по перевалке грузов и осуществлении взаимодействия с различными видами транспорта, на территории портов осуществляют свою деятельность таможенные и пограничные службы, которые обеспечивают реализацию государственной внешнеэкономической политики в целях поддержания необходимого уровня национальной экономической безопасности. По своей функциональной специализации, морские порты могут подразделяться на порты общего и специального пользования. Первые из них обслуживают различные виды грузов и судов, в то время как специализированные только определённые виды грузов, например, лесопродукцию, нефтепродукты или грузы, доставляемые в контейнерах.

В современных условиях развития рынка деятельность морского порта подразделяется на основную и вспомогательную. В состав основной деятельности попадают следующие виды услуг:

    стивидорные услуги;

    складские и буксировочные операции;

    услуги по лоцманской проводке.

К вспомогательным видам деятельности морских портов относятся:

    швартовые операции;

    услуги по обслуживанию судов;

    сюрвейерское обслуживание;

    перевозка пассажиров;

    агентирование судов.

Во многих портах по местным портовым правилам, а в портах России в соответствии с Обязательным постановлением по порту, суда (в зависимости от тоннажа) обязаны пользоваться буксирами при швартовных операциях. По своим тактическим и маневренным качествам эти суда должны выполнять роль вспомогательного средства в швартовных операциях. Обычно в стесненной обстановке в порту при сильном ветре или течении используют один или несколько буксиров.

Капитаны буксирных судов подчиняются капитану транспортного судна и выполняют все его распоряжения.

Капитан транспортного судна обязан до начала операций швартовки условиться с капитанами буксирных судов о предстоящей работе и маневрах. Во всех случаях использования буксирного судна ответственность за безопасную швартовную операцию несет капитан транспортного судна. В связи с этим необходимо, чтобы штурманы, руководящие швартовкой на баке и корме, внимательно наблюдали за работой буксиров и буксирных тросов.

На буксирный катер с судна подают надежный трос с огоном на конце, который они закладывают на гак. Длина буксирного троса определяется в зависимости от условий швартовки и стесненности акватории и, как минимум, так, чтобы корма катера не касалась буксируемого судна при любом положении последнего. Если судно имеет бульбовый форштевень, то буксирный трос берут длиннее, чем на обычном судне, и наоборот, для судна с транцевой кормой — короче. Важным условием для качественного использования буксирных судов при швартовных операциях является связь между судном и буксирными катерами.

Необходимые приказания капитанам буксирных катеров передаются установленными звуковыми сигналами, подаваемыми тифоном, сиреной или штурманским свистком и в некоторых случаях — голосом через мегафон. Принято подавать сигналы судовым свистком для носового буксирного судна, а штурманским свистком — для кормового.

В некоторых случаях сигналы подают руками. В последнее время широкое распространение получило использование для связи судна и буксира УКВ радиостанции. 1

Существуют следующие способы использования буксиров:

    буксировка с помощью буксирных тросов;

    буксировка лагом;

    буксировка способом «пуш-пул» (push–pull) - буксиры швартуются к борту таким образом, что могут изменять свое положение относительно буксируемого судна, тем самым изменяя направление тяги;

    буксировка способом на укол. 2

В морском порту Геленджик оказываются услуги по швартовке кормой для судов типа Ро-Ро.

      Информация об участниках проекта

      Месторасположение проекта

Проект предполагается реализовать в г. Геленджик, в пределах морского порта.

    МАРКЕТИНГОВЫЙ ПЛАН

      Обзор рынка услуг швартовки в морском порту Геленджик

Буксирные услуги в морском порту Геленджик, связанных с буксирным обеспечением выполнения швартовных операций, а также для перетяжки или иной перестановки судна в акватории морского порта, оказываются Азово-Черноморским бассейновым филиалом ФГУП «Росморпорт». Для этого у компании имеется 2 буксира, информация о которых представлена в таблице:

Таблица 3.1. Буксирный флот морского порта Геленджик

Наименование судна

Назначение

Мощность (кВт)

 Район использования

Источник: Интернет-сайт «Росморпорт»

Рисунок 3.1. Буксир-кантовщик «Генерал Раевский»

Рисунок 3.1. Буксир-кантовщик «Генерал Раевский»

Источник: Интернет-сайт www.korabli.eu

Сведения о количестве выполненных Азово-Черноморским бассейновым филиалом буксирных операций в морском порту Геленджик представлены в таблице:

Таблица 3.2. Количество выполненных буксирных операций в порту Геленджик

 

2009

2010

2011

Кол-во буксирных операций

Источник: Интернет-сайт «Росморпорт»

Услуги швартовки в морском порту Геленджик строго регламентированы. Обязательные правила прописаны в «Обязательных постановлениях в морском порту Геленджик», утвержденных приказом Минтранса России.

Швартовные операции в морском порту для всех судов вместимостью 200 и более куб. м …

Таблица 3.3. Сведения о минимальном количестве и мощности буксиров

для проведения швартовных операций с судами в морском порту

Дедвейт судна (тонны)

Минимальное количество буксиров и их мощность

швартовка

отшвартовка

от 201 до 3000

от 3001 до 5000

Источник: Интернет-сайт «Росморпорт»

Для швартовки судна к причалу морского порта оператор причала выделяет руководителя швартовщиков, обеспеченного радиосвязью с лоцманом или капитаном судна, а также швартовщиков, количество которых зависит от валовой вместимости судна, из расчета:

Швартовные операции судов к причалам морского порта производятся при соблюдении следующих условий:

Таблица 3.4. Сведения о технических возможностях морского порта в части приема судов и причалах

Наименование причала

Географические координаты расположения причала

Технические характеристики

Длина (метры)

Глубина (метры)

Источник: Обязательные постановления в морском порту Геленджик

Морской порт Геленджик принимает:

Швартовка судов Ро-Ро к причалу допускается только кормой.

      Основные тенденции на рынке

Можно выделить следующие тенденции отрасли:

Таким образом, …

      Анализ потребителей. Сегментация потребителей

Основным признаком отечественной классификации судов является его назначение. Все гражданские суда, в зависимости от их назначения, подразделяют на транспортные, промысловые, служебно-вспомогательные и суда технического флота.

Согласно «Сборнику обязательных распоряжений по морскому торговому порту Новороссийск (с приписным портпунктом Анапа) и морскому торговому порту Геленджик» Министерства транспорта РФ швартовные операции в порту Геленджик …

Рисунок 3.2. Сегментация потребителей услуг швартовки

Рисунок 3.2. Сегментация потребителей услуг швартовки

Источник: Информационный портал Sea Man

Грузовые суда предназначены для …

Промысловые суда – …

К служебно-вспомогательным судам относятся …

Суда технического флота

Научно-исследовательские суда – …

Пассажирские суда – …

      Ценообразование на рынке

Цены на буксирные услуги, связанные буксирным обеспечением при проведении швартовки, отшвартовки, перетяжке или иному перемещению судов в акваториях морских портов Геленджик, Анапа, Новороссийск, относящиеся к Азово-Черноморскому бассейновому филиалу, представлены в таблице:

Таблица 3.5. Средние цены на буксирные услуги в Азово-Черноморском бассейновом филиале

п.п.

Наименование судна

Стоимость работы (услуги) без учета НДС (руб.)

Ед. изм.

1

2

3

Источник: данные заказчика

Таким образом, цена на услуги швартовки составляют …

    ОРГАНИЗАЦИОННЫЙ ПЛАН

      План по персоналу

При формировании штатного расписания производственного предприятия ориентировались на концепцию проекта, объем основных производственных и вспомогательных операций.

В расчетной части бизнес-плана был сформирован план ФОТ исходя из условия работы отделов, относящихся к вышеперечисленным структурным подразделениям.

Таблица 4.1. Формирование ФОТ и штатного расписания предприятия, тыс. руб.

Наименование должности

Кол-во работников

З/п 1 работника, тыс. руб./мес.

Итого ФОТ, тыс. руб.

1

Швартовщик

2

Рулевой

 

Итого

Источник: анализ и расчеты MegaResearch

При общей численности штата предприятия 6 чел., ежемесячный ФОТ получился равным

      План-график работ по проекту

Этапы реализации проекта приведены в таблице:

Таблица 4.2 График реализации проекта

Этап проекта

Начало работ

Длительность, дней

Конец работ

Закупка оборудования

Поставка оборудования

Привлечение персонала

Начало работы

Источник: анализ и расчеты MegaResearch

График реализации проекта в графическом виде представлен на рисунке:

Рисунок 4.1. График реализации проекта

Рисунок 4.1. График реализации проекта

Источник: анализ и расчеты MegaResearch

Таким образом, начало эксплуатации запланировано на …

      Источники, формы и условия финансирования

Объем основных инвестиций проекта составит … руб. Финансирование проекта осуществляется за счет собственных и заемных средств. Заемные средства представляют собой лизинг, который берется на покупку буксира.

Структура инвестиционных вложений по направлениям затрат представлена на рисунке:

Рисунок 4.2. Структура инвестиционных вложений по направлениям затрат

Рисунок 4.2. Структура инвестиционных вложений по направлениям затрат

Источник: анализ и расчеты MegaResearch

    ПРОИЗВОДСТВЕННЫЙ ПЛАН

      Описание процесса предоставления услуг

В морском порту Геленджик в услугах швартовки нуждаются только суда типа Ро-Ро. Швартовка таких судов к причалу допускается только кормой.

Процесс швартовки:

1. С кормы на буксир подается буксирный трос. Судно выходит на траверз причала.

2. Отдается якорь наветренного борта, который удерживает нос судна от навала на причал. Корма - удерживается буксиром.

3. Потравливая якорную цепь и уменьшая упор винта буксира, судно подходит по ветру к причалу.

Рисунок 5.1. Маневрирование судна при швартовке кормой с использованием буксира

Рисунок 5.1. Маневрирование судна при швартовке кормой с использованием буксира

Источник: Интернет-сайт «Морская библиотека»

      Описание буксира для оказания услуг швартовки

Буксир построен на класс Российского морского регистра судоходства КМ Ice 1 R 3 Tug и предназначен для швартовки и отшвартовки морских судов в портах и транспортных буксировок в пределах рейда.

Таблица 5.1. Технические характеристики судна

Наименование показателя

Значение

Длина наибольшая, м

Длина по грузовой ватерлинии, м

Ширина наибольшая, м

Осадка по грузовую марку, м

Высота борта, м

Валовая вместимость, т

Чистая вместимость, т

Энергетическая установка

Максимальная длительная мощность ГД, кВт

Дизель-генератор

Скорость хода в грузу, узлов

Упор, т

Экипаж, чел.

Источник: Коммерческое предложение ООО Фирма «Трал»

Пропульсивный комплекс буксира обеспечивает тяговое усилие …

В качестве главных двигателей используются …

Для обеспечения буксировочных операций …

Главный пост управления …

Рисунок 5.2. Внешний вид приобретаемого буксира

Рисунок 5.2. Внешний вид приобретаемого буксира

Источник: Коммерческое предложение ООО Фирма «…»

      Прочие технологические вопросы

В настоящее время на стапеле производителя находится корпус судна в 100% готовности. Окончательная готовность судна – в течение 4 месяцев после заключения договора о поставке и предоплаты на основные механизмы (срок поставки связан с поставкой главных двигателей).

Таблица 5.2. Готовность судна

п.п.

Наименование

% готовности

1

Корпус

1.1

Основной корпус

1.2

Рубка

2

Судовые устройства

2.1

Рулевое устройство

2.2

Буксирное устройство

2.3

Якорное устройство

2.4

Швартовное устройство

2.5

Спасательное устройство

2.6

Кранцевая защита корпуса

2.7

Мачтовое устройство и такелаж

3

Дельные вещи

3.1

Иллюминаторы

3.2

Крышки люков

3.3

Горловины

3.4

Двери наружные

3.5

Двери внутренние

3.6

Трапы наружные

3.7

Трапы внутренние

4

Изоляция помещений, покрытия и окраска

4.1

Изоляция помещений

4.2

Окраска

5

Зашивка судовых помещений

6

Оборудование помещений

6.1

Жилые помещения.

6.2

Санитарные помещения.

7

Энергетическая установка

7.1

Механизмы и оборудование

7.2

Цистерны

7.3

Настилы полов и площадки

7.4

Тепловая изоляция

8

Системы энергетической установки

8.1

Топливная система

8.2

Система газовыхлопа

8.3

Система охлаждения забортной водой

8.4

Система нефтесодержащих вод

8.5

Вентиляция машинного отделения

8.6

Система объемного углекислотного тушения

9

Системы общесудовые

9.1

Осушительная система

9.2

Система водяного пожаротушения

9.3

Система углекислотного тушения газоходов ГД и ВДГ

9.4

Система бытового водоснабжения

9.5

Сточная система

9.6

Система общесудовой вентиляции

9.7

Система кондиционирования воздуха

10

Трубы и арматура систем энергетической установки и общесудовых систем

11

Электрооборудование

11.1

ГРЩ и все остальные компоненты

11.2

Кабельные трассы

Источник: Коммерческое предложение ООО Фирма «…»

    ФИНАНСОВЫЙ ПЛАН

      Исходные данные и допущения

Допущения, принятые в проекте описаны ниже.

Допущения об услугах

Компания предоставляет услуги по швартовке судов к причалу с помощью буксира в морском порту Геленджик.

Допущение о плане продаж

Среднее количество швартовых операций в месяц – 14. План сезонной загрузки представлен в п.п. 6.8.

Допущения об инвестиционных издержках

Инвестиционные издержки подразделены на 3 категории: подготовительные работы, закупка оборудования и дополнительные расходы, требующиеся на организацию деятельности. Для определения суммы необходимого первоначального оборотного капитала был произведен прогнозный расчет прибылей и убытков по текущей деятельности компании до момента выхода на самоокупаемость.

Допущения о потребности в первоначальных оборотных средствах

Для расчета первоначальных оборотных средств был произведен анализ перечня необходимых ресурсов для осуществления всей текущей деятельности в рамках проекта. В данные перечень вошли такие категории затрат как:

    Фонд оплаты труда сотрудников;

    ГСМ;

    Прочие расходы.

Допущение о ставке дисконтирования

В проекте была принята ставка дисконтирования **% в год. Ниже приведем обоснование расчета данного показателя.

Метод кумулятивного построения основан на суммировании безрисковой ставки дохода и надбавок за риск инвестирования в оцениваемое предприятие. Метод наилучшим образом учитывает все виды рисков инвестиционных вложений, связанных как с факторами общего для отрасли и экономики характера, так и со спецификой оцениваемого предприятия. Расчёты производят по формуле:

Метод кумулятивного построения основан на суммировании безрисковой ставки дохода и надбавок за риск инвестирования в оцениваемое предприятие. Метод наилучшим образом учитывает все виды рисков инвестиционных вложений, связанных как с факторами общего для отрасли и экономики характера, так и со спецификой оцениваемого предприятия. Расчёты производят по формуле:

где r – ставка дисконтирования; rб – базовая (безрисковая или наименее рискованная) ставка; Ri – премия за i-вид риска; n – количество премий за риск. Представим ниже расчет по данной методологии.

Таблица 6.1. Определение стоимости собственного капитала

Составляющие

%

Размер безрисковой ставки*

Размер поправки за страновой риск

Размер поправки за отраслевой риск

Размер поправки за прочий риск

Стоимость собственного капитала

Источник: анализ и расчеты MegaResearch

Далее, на основании этого определялась норма ставки дисконтирования.

Таблица 6.2. Определение ставки дисконтирования

Составляющие

%

Доля собственного капитала

Доля заемного капитала

Налог

Стоимость собственного капитала

Стоимость заемного капитала

Итого ставка дисконтирования

Источник: анализ и расчеты MegaResearch

Таким образом, экспертный расчет ставки дисконтирования составил **% годовых.

Допущения о выручке, прогнозах прибылей и убытков (ППиУ) и движения денежных средств (ДДС)

Для построения планов выручки, ППиУ и ДДС были использованы все вышеперечисленные показатели.

      Номенклатура и цены

В проекте принята цена на предоставляемые услуги – … руб. за 1 куб. метр условного объема судна. Для расчетов принят средний условный объем судна, равный 24 635 куб. м. Среднее время предоставления услуги составляет 2 ч (швартовка+отшвартовка).

      Инвестиционные издержки

Капитальные затраты, которые потребуются на налаживание производства приведены в таблице:

Таблица 6.3 Инвестиционные издержки проекта, тыс. руб.

п.п.

Капитальные затраты

Кол-во/ %

Цена, тыс. руб.

Стоимость, тыс. руб.

1

Подготовительные работы

1.1

Разработка бизнес-плана проекта

2

Оборудование

2.1

Буксир-кантовщик пр. TUG17

2.2

Доставка

3

Непредвиденные расходы

3.1

Непредвиденные расходы 2% от инвестиций

Итого капитальные затраты

Покрытие дефицита кэш-фло

Всего инвестиции в проект

* Данные могут быть изменены в процессе проектирования и закупки материалов.

Источник: анализ и расчеты MegaResearch

Покрытие дефицита кэш-фло ... руб. – это минимальные необходимые вложения, которые пойдут на выплату процентов за пользование кредитными средствами и покрытие текущих затрат, пока выручки по проекту еще недостаточно.

      Лизинг

Условия лизингового займа представлены в таблице:

Таблица 6.4. Условия лизинга 3

Условия лизинга

Единица измерения

%

Значение

Стоимость оборудования, включая НДС

тыс. руб.

Стоимость оборудования, без НДС

тыс. руб.

Срок полной амортизации оборудования

лет

Срок полной амортизации оборудования с применением ускоряющего коэфф. 3

мес.

Предоплата за оборудование

тыс. руб.

Сумма предоставляемого кредита (лизинговая сумма)

тыс. руб.

Плата за кредитные ресурсы, % годовых

тыс. руб.

Кол-во выплат в год

раз

Фактический срок лизингового договора

мес.

Комиссионное вознаграждение лизинговой компании

тыс. руб.

НДС

тыс. руб.

Налог на имущество

тыс. руб.

Страховка

тыс. руб.

Источник: анализ и расчеты MegaResearch , данные инициатора проекта

Расчет ежемесячных лизинговых платежей представлен в приложении 8.1.

      Налоговые отчисления

На данном производстве будет применяться общая система налогообложения.

Под общим налоговым режимом (или как его часто называют ОСН) подразумевается режим выплаты налогов, установленный для организаций с различными организационно-правовыми формами (если они при этом не пользуются специальными налоговыми режимами).

Предприятия, которые пользуются ОСН, ведут полный учет с использованием всех бухгалтерских счетов, а также аналитики и субсчетов. Помимо этого, такие организации должны заполнять налоговые регистры с числом, не превышающим сотню. В случае ошибки бухгалтера при учете доходов и расходов, может быть воспринят налоговым органом как искусственное занижение доходов предприятия, что повлечет за собой наложение штрафных санкций.

Таблица 6.5 Налоговое окружение

Налоговое окружение

Размер налога

Налоговый период

Режим налогообложения

ОСН

 

Налог на прибыль

20,0%

Календарный год

Страховые взносы

30,0%

Календарный год

НДС

0,0%

Месяц

Налог на имущество

2,2%

Календарный год

Источник: Налоговый кодекс РФ

Услуги по швартованию к причалу (от причала) и буксирному сопровождению морских судов и судов внутреннего плавания, оказываемых российской организацией в российском порту, освобождаются от НДС. 4

Суммы уплаченных налогов в течение периода реализации проекта представлены в таблице:

Таблица 6.6 Налоговые отчисления в 2015-2022 гг., тыс. руб.

Налоги

2015

2016

2017

2018

Налоги

Налог на прибыль

Страховые взносы

Налог на имущество

Налогооблагаемая прибыль

Продолжение

Налоги

2019

2020

2021

2022

Налоги

Налог на прибыль

Страховые взносы

Налог на имущество

Налогооблагаемая прибыль

Источник: Расчеты MegaResearch

      Операционные издержки (постоянные и переменные)

Постоянные издержки проекта представляют собой затраты на проект, не зависящие от изменения объема оказания услуг. К ним относятся, как правило, затраты на обслуживание и управление. Основные постоянные издержки представлены в таблице:

Таблица 6.7 Постоянные издержки, тыс. руб.

Показатель

Расход

Значение в месяц, тыс. руб.

1

Техническое обслуживание буксира

... руб. в квартал

2

Бухгалтерское сопровождение

... руб. в месяц

3

Ежегодное освидетельствование судна

... руб. в год

4

Заработная плата персонала

см. п.п. 4.1

 

ИТОГО

 

Источник: анализ и расчеты MegaResearch

В соответствии с требованиями российского законодательства любое судно обязано проходить освидетельствование на пригодность к эксплуатации. Выделяют следующие виды освидетельствований:

    первоначальное – перед постановкой судна на классификационный учет;

Издержки на первоначальное освидетельствование судна включены в стоимость судна, издержки на ежегодное освидетельствование отнесены к постоянным затратам и составляют … руб. в год.

Переменные издержки проекта – это затраты, которые напрямую зависят от объема оказываемых услуг:

Таблица 6.8 Переменные издержки, тыс. руб.

Наименования затрат

Расчет издержек в месяц

Средние затраты в мес., тыс. руб.

1

Топливо

2

Смазка

 

Итого

 

Источник: анализ и расчеты MegaResearch

      Расчет себестоимости

Расчет себестоимости 1 операции по швартовке судна производился на основе постоянных и переменных издержек по проекту.

Таблица 6.9. Расчет себестоимости 1 операции швартовки

Статьи затрат (год)

Значение в год

Ед. изм.

Переменные издержки

тыс. руб.

Топливо

тыс. руб.

Смазка

тыс. руб.

Постоянные издержки

тыс. руб.

Техническое обслуживание

тыс. руб.

Бухгалтерское сопровождение

тыс. руб.

Ежегодное освидетельствование судна

тыс. руб.

Заработная плата персонала

тыс. руб.

Общие издержки

тыс. руб.

Количество оказанных услуг по швартовке

ч

Себестоимость 1 операции

тыс. руб.

Источник: анализ и расчеты MegaResearch

Таким образом, себестоимость 1 операции по швартовке судна к причалу составляет для компании ... руб.

      План предоставления услуг

В проекте предусмотрена сезонность потребления услуг:

Рисунок 6.1. Сезонность потребления услуг, кол-во выполненных операций

Рисунок 6.1. Сезонность потребления услуг, кол-во выполненных операций

Источник: данные инициатора проекта

План предоставления услуг швартовки по годам реализации проекта представлен в таблице:

Таблица 6.10. План предоставления услуг в 2016-2022 гг., кол-во выполненных операций

Период

2016 г.

2017 г.

2018 г.

2019 г.

Услуги швартовки

 

Продолжение

Период

2020 г.

2021 г.

2022 г.

Услуги швартовки

 

Источник: анализ и расчеты MegaResearch

Дальнейшая загрузка планируется на уровне 2022 г.

      Расчет выручки

Расчет выручки формируется на основе плана предоставления услуг и их стоимости. План выручки в первые годы реализации представлен в таблице:

Таблица 6.11 План выручки в 2016-2022 гг., тыс. руб.

Период

2016 г.

2017 г.

2018 г.

2019 г.

Услуги швартовки

Итого

Период

2018 г.

2021 г.

2022 г.

Услуги швартовки

Итого

Источник: анализ и расчеты MegaResearch

Дальнейший размер выручки планируется на уровне 2022 г.

      Прогноз прибылей и убытков

Отчет о прибылях и убытках по годам показан в таблице:

Таблица 6.12 Отчет о прибылях и убытках, тыс. руб.

Статья доходов / расходов

2015 г.

2016 г.

2017 г.

2018 г.

Выручка от реализации

Переменные издержки

Валовая прибыль

Постоянные издержки

Налоги (кроме налога на прибыль)

EBITDA

EBIT, % (к выручке) средняя

Амортизация ОС

EBIT

Выплата процентов по кредитам и займам

Прибыль (Убыток) до налогообложения

Налог на прибыль

Нераспределенная прибыль

Нераспределенная прибыль нарастающим итогом

Возврат кредиторской задолженности

Чистая прибыль

Рентабельность продаж

Продолжение

Статья доходов / расходов

2019 г.

2020 г.

2021 г.

2022 г.

Выручка от реализации

Переменные издержки

Валовая прибыль

Постоянные издержки

Налоги (кроме налога на прибыль)

EBITDA

EBIT, % (к выручке) средняя

Амортизация ОС

EBIT

Выплата процентов по кредитам и займам

Прибыль (Убыток) до налогообложения

Налог на прибыль

Нераспределенная прибыль

Нераспределенная прибыль нарастающим итогом

Возврат кредиторской задолженности

Чистая прибыль

Рентабельность продаж

Источник: анализ и расчеты MegaResearch

      Прогноз движения денежных средств

Прогноз движения денежных средств по годам показан в таблице ниже. Прогноз движения денежных средств по месяцам показан в приложении.

Таблица 6.13 Прогноз движения денежных средств, тыс. руб.

 

2015 г.

2016 г.

2017 г.

2018 г.

ИНВЕСТИЦИОННЫЙ ДЕНЕЖНЫЙ ПОТОК (ИДП)

Капитальные вложения

ОПЕРАЦИОННЫЙ ДЕНЕЖНЫЙ ПОТОК (ОДП)

Выручка итого

Расходы итого

Переменные издержки

Постоянные издержки

Начисленные налоги и платежи

Прочие платежи по лизингу (проценты, амортизация и т.д.)

ФИНАНСОВЫЙ ДЕНЕЖНЫЙ ПОТОК (ФДП)

Собственные средства

Заемные средства (лизинг)

Выплата тела долга

Чистый денежный поток (ЧДП)

ЧДП нарастающим итогом

Продолжение

 

2019 г.

2020 г.

2021 г.

2022 г.

ИНВЕСТИЦИОННЫЙ ДЕНЕЖНЫЙ ПОТОК (ИДП)

Капитальные вложения

ОПЕРАЦИОННЫЙ ДЕНЕЖНЫЙ ПОТОК (ОДП)

Выручка итого

Расходы итого

Переменные издержки

Постоянные издержки

Начисленные налоги и платежи

Прочие платежи по лизингу (проценты, амортизация и т.д.)

ФИНАНСОВЫЙ ДЕНЕЖНЫЙ ПОТОК (ФДП)

Собственные средства

Заемные средства (лизинг)

Выплата тела долга

Чистый денежный поток (ЧДП)

ЧДП нарастающим итогом

Источник: анализ и расчеты MegaResearch

      Анализ эффективности проекта

        Методика оценки эффективности проекта

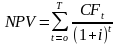
Показатели эффективности инвестиционного проекта позволяют определить эффективность вложения средств в тот или иной проект. При анализе эффективности инвестиционных проектов используются следующие показатели эффективности инвестиций: Чистый дисконтированный (приведенный) доход (денежный поток); Чистая приведенная стоимость, NPV; период (срок) окупаемости, PB; Дисконтированный период окупаемости, DPB; Внутренняя норма доходности (рентабельности), Норма возврата инвестиций, IRR (модифицированная норма возврата инвестиций, MIRR); Индекс прибыльности, индекс рентабельности, индекс доходности, PI.

Чистый дисконтированный доход (чистая приведённая стоимость) (англ. Net present value, общепринятое сокращение — NPV (ЧДД)) – сумма дисконтированных одновременных разностей между выгодами и затратами по проекту. Сумма денежных потоков (поступлений и платежей), связанных с операционной и инвестиционной деятельностью, приведенных (дисконтированных) на момент начала осуществления инвестиций.

Чистый дисконтированный доход NPV рассчитывается по формуле 1.

Чистый дисконтированный доход NPV рассчитывается по формуле 1. (1.)

Где i — ставка дисконтирования;

CFt – чистый денежный поток периода t;

T – длительность проекта в периодах.

Расчёт NPV — стандартный метод оценки эффективности инвестиционного проекта и показывает оценку эффекта от инвестиции, приведённую к настоящему моменту времени с учётом разной временной стоимости денег. Если NPV больше 0, то инвестиция прибыльна, а если NPV меньше 0, то инвестиция убыточна.

С помощью NPV можно также оценивать сравнительную эффективность альтернативных вложений (при одинаковых начальных вложениях более выгоден проект с наибольшим NPV).

Положительные качества NPV:

    чёткие критерии принятия решений

    показатель учитывает стоимость денег во времени (используется коэффициент дисконтирования в формулах).

Отрицательные качества NPV:

    показатель не учитывает риски.

    не учитываются вероятность исхода события, так как все денежные потоки и коэффициент дисконтирования являются прогнозными значениями.

Метод периода окупаемости (PB)

Срок окупаемости (Payback period, PB) – ожидаемый период возмещения первоначальных вложений из чистых денежных поступлений. Время, за которое поступления от оперативной деятельности предприятия превысят затраты на инвестиции.

Период окупаемости PB рассчитывается по формуле 2.

PB= Investments/ACF (2)

Где Investments – начальные инвестиции;

ACF – Annual Cash Flow (среднегодовая сумма чистого денежного потока).

Метод дисконтированного периода окупаемости (DPB)

Дисконтированный срок окупаемости (DPB) – срок окупаемости (см. выше), но с учетом дисконтирования.

Дисконтированный срок окупаемости DPB рассчитывается по формуле 3.

Дисконтированный срок окупаемости DPB рассчитывается по формуле 3. (3)

Где t — , t + - период, когда наблюдался отрицательный и положительный NPV.

Индекс прибыльности, индекс рентабельности, индекс доходности, PI

Индекс прибыльности (profitability index, PI) – дисконтированная стоимость денежных поступлений от проекта (NPV) на единицу вложений. Показывает относительную прибыльность проекта.

Индекс прибыльности PI рассчитывается по формуле 4.

Индекс прибыльности PI рассчитывается по формуле 4. (4)

Значения PI:

Для эффективного проекта PI должен быть больше 1

Индексы доходности дисконтированных затрат и инвестиций превышают 1, если для этого потока NPV положителен.

Внутренняя норма рентабельности (IRR)

При неоднородных денежных потоках, как в рассматриваемом проекте, может применяться соответствующий аналог IRR – модифицированная внутренняя норма доходности (MIRR).

Алгоритм расчета предусматривает выполнение нескольких процедур. Прежде всего рассчитываются суммарная дисконтированная стоимость всех оттоков и суммарная наращенная стоимость всех притоков, причем и дисконтирование, и наращение осуществляются по цене источника финансирования проекта. Наращенная стоимость притоков называется терминальной стоимостью. Далее определяется ставка дисконтирования, уравнивающая суммарную приведенную стоимость оттоков и терминальную стоимость, которая в данном случае как раз и представляет собой MIRR. Итак, общая формула расчета имеет вид:

Алгоритм расчета предусматривает выполнение нескольких процедур. Прежде всего рассчитываются суммарная дисконтированная стоимость всех оттоков и суммарная наращенная стоимость всех притоков, причем и дисконтирование, и наращение осуществляются по цене источника финансирования проекта. Наращенная стоимость притоков называется терминальной стоимостью. Далее определяется ставка дисконтирования, уравнивающая суммарную приведенную стоимость оттоков и терминальную стоимость, которая в данном случае как раз и представляет собой MIRR. Итак, общая формула расчета имеет вид: (6)

Где OF, — отток денежных средств в N-м периоде (по абсолютной величине);

IF, — приток денежных средств в N-м периоде;

г — стоимость источника финансирования данного проекта;

п — продолжительность проекта.

Заметим, что формула имеет смысл, если терминальная стоимость превышает сумму дисконтированных оттоков.

        Показатели эффективности проекта

Основные финансовые показатели показаны в таблице:

Таблица 6.14 Показатели эффективности инвестиций

Показатели эффективности инвестиций

Значение

Период расчета (горизонт планирования), мес.

Чистый доход (NV), тыс. руб.

Чистый дисконтированный доход (NPV), тыс. руб.

Внутренняя норма доходности (IRR), % в год

Индекс доходности (PI), ед.

Период окупаемости (PB), мес.

Дисконтированный период окупаемости (DPB), мес.

Инвестиции в проект, тыс. руб.

Средняя рентабельность продаж по проекту, %

Чистая прибыль (накопительная), тыс. руб.

Ставка дисконтирования, %

Источник: анализ и расчеты MegaResearch

По данным исследования видно, что проект является выгодным. Он окупится примерно через ... Срок окупаемости с учетом дисконтирования составит … Чистая прибыль проекта составит около ... руб.

На рисунке показан график NPV проекта:

Рисунок 6.2 График NPV проекта

Рисунок 6.2 График NPV проекта

Источник: анализ и расчеты MegaResearch

На графике NPV мы видим возрастание чистой приведенной стоимости проекта по годам его реализации.

Чистый денежный поток NPV, равный .. . руб. на конец периода показывает величину денежных средств, которую получит инвестор от проекта, после того, как денежные притоки окупят его первоначальные инвестиционные затраты и периодические денежные оттоки, связанные с осуществлением проекта с учетом временной стоимости денег и рисков проекта.

Показатель PI, …

    АНАЛИЗ РИСКОВ ПРОЕКТА

      Варианты проекта (оптимистичный и пессимистичный

Было рассмотрено 2 варианта проекта: оптимистичный и пессимистичный.

Оптимистичный вариант:

    Увеличение стоимости оказания услуг на 5%;

    Снижение стоимости ГСМ на 5%;

    Снижение заработной платы персонала на 5%.

В этом случае, экономические показатели проекта выглядят следующим образом:

Таблица 7.1 Показатели эффективности инвестиций «Оптимистичный вариант»

Показатели эффективности инвестиций

Значение

Период расчета (горизонт планирования), мес.

Чистый доход (NV), тыс. руб.

Чистый дисконтированный доход (NPV), тыс. руб.

Внутренняя норма доходности (IRR), % в год

Индекс доходности (PI), ед.

Период окупаемости (PB), мес.

Дисконтированный период окупаемости (DPB), мес.

Инвестиции в проект, тыс. руб.

Средняя рентабельность продаж по проекту, %

Чистая прибыль (накопительная), тыс. руб.

Ставка дисконтирования, %

Источник: анализ и расчеты MegaResearch

Из таблицы 7.1 видно, что при оптимистичном варианте развития проекта показатель NPV на конец периода увеличивается почти на …

Динамика NPV проекта по годам его реализации при оптимистичном варианте представлена на рисунке:

Рисунок 7.1 График NPV проекта «Оптимистичный вариант»

«Оптимистичный вариант»

Источник: анализ и расчеты MegaResearch

На графике мы видим, что чистая приведенная стоимость возрастает быстрее при оптимистичном прогнозе развития проекта.

Пессимистичный вариант:

    Снижение стоимости предоставления услуг на 5%;

    Увеличение стоимости ГСМ на 5%;

    Увеличение заработной платы персонала на 5%.

В этом случае, экономические показатели проекта выглядят следующим образом:

Таблица 7.2 Показатели эффективности инвестиций «Пессимистичный вариант»

Показатели эффективности инвестиций

Значение

Период расчета (горизонт планирования), мес.

Чистый доход (NV), тыс. руб.

Чистый дисконтированный доход (NPV), тыс. руб.

Внутренняя норма доходности (IRR), % в год

Индекс доходности (PI), ед.

Период окупаемости (PB), мес.

Дисконтированный период окупаемости (DPB), мес.

Инвестиции в проект, тыс. руб.

Средняя рентабельность продаж по проекту, %

Чистая прибыль (накопительная), тыс. руб.

Ставка дисконтирования, %

Источник: анализ и расчеты MegaResearch

Как видно из таблицы, при пессимистичном варианте развития проекта все показатели снизились: NPV снизился на **%, IRR уменьшился на **%.

На рисунке 7.2 представлен график NPV проекта при пессимистичном сценарии.

Рисунок 7.2 График NPV проекта «Пессимистичный вариант»

«Пессимистичный вариант»

Источник: анализ и расчеты MegaResearch

При пессимистичном варианте развития проекта показатели эффективности несколько хуже, чем при реалистичном. Проект окупится через …

      Точка безубыточности проекта

Точка безубыточности определяет, каким должен быть объем продаж для того, чтобы предприятие работало безубыточно, могло покрыть все свои расходы, не получая прибыли.

Для расчета точки безубыточности надо разделить издержки на две составляющие:

    Переменные затраты — возрастают пропорционально увеличению производства (объему оказания услуг).

    Постоянные затраты — не зависят от количества оказанных услуг (реализованных товаров) и от того, растет или падает объем операций.

Для данной компании график точки безубыточности будет выглядеть следующим образом:

Рисунок 7.3 График точки безубыточности

График точки безубыточности

Источник: аналитика и расчеты MegaResearch

Точка безубыточности имеет большое значение в вопросе жизнестойкости компании и ее платежеспособности. Так, степень превышения объемов продаж над точкой безубыточности определяет запас финансовой прочности (запас устойчивости) предприятия.

В связи с тем, что наибольшие издержки проекта – это переменные издержки, влияние остальных затрат на проект не значительно.

На графике точки безубыточности видим, что компания должна оказывать услуги не менее чем на ... руб .

    ПРИЛОЖЕНИЯ

      График лизинговых платежей

      Отчет о движении денежных средств по месяцам, тыс. руб.

Готовые бизнес-планы по теме «Транспорт»

Андрей Маркин
Андрей Маркин
Ведущий менеджер проектов

Андрей специализируется на проектах по маркетинговым исследованиям, бизнес-планам и стратегическому консалтингу.

Обзоры отраслевых рынков от агентства MegaResearch

все обзоры
Рост e-commerce в России: что на самом деле заставляет совершать покупки через интернет
05.05.2026
Рост e-commerce в России: что на самом деле заставляет совершать покупки через интернет

Для большинства потребителей шопинг в интернете — привычный и понятный способ совершать покупки, пользователи сформировали определенные привычки, у них есть свои ожидания, свои паттерны поведения при выборе и заказе онлайн-товаров. По итогам анализа трендов поведения потребителей в этом сегменте наши аналитики выявили ряд интересных особенностей, характеризующих рынок электронных продаж в целом и определяющих причины роста e-commerce в РФ по состоянию на второе полугодие 2025 — начало 2026 года.

Как исследования спроса помогают застройщикам подобрать форматы квартир в ЖК для роста прибыли
30.04.2026
Как исследования спроса помогают застройщикам подобрать форматы квартир в ЖК для роста прибыли

В современных условиях, когда конкуренция на рынке недвижимости значительно увеличилась, застройщики должны не просто возводить жилые комплексы, но и создавать продукты, которые максимально отвечают запросам целевой аудитории. Для этого важно уделять особое внимание спросу и исследовать его. Наши аналитики рассказали, как грамотно проведенный анализ поможет подобрать оптимальные форматы квартир и в итоге увеличить прибыль.

Рынок куриных яиц России и структура племенной (родительской) базы у отечественных производителей пищевых яиц
28.04.2026
Рынок куриных яиц России и структура племенной (родительской) базы у отечественных производителей пищевых яиц

Российский рынок куриных яиц — один из крупнейших в мире. По данным Росстата, в 2025 году производство пищевых яиц в РФ продолжило рост — в сельскохозяйственных организациях их было произведено 40,4 млрд шт., что больше показателей 2024 г. (38,1 млрд шт.) и 2023 г. (38 млрд шт.). При этом, по данным Минсельхоза России, масштабы отечественного производства позволяют не только полностью удовлетворить спрос прямых внутренних потребителей и предприятий по переработке, но и продавать значительные объемы продукции за рубеж.

Ключевые тренды на рынке облачных сервисов в России в 2025–2026 гг.: куда на самом деле движется инфраструктура бизнеса
23.04.2026
Ключевые тренды на рынке облачных сервисов в России в 2025–2026 гг.: куда на самом деле движется инфраструктура бизнеса

Российский рынок облачных сервисов уже вышел из стадии, когда компании массово переносили свои ресурсы и данные в облако для сокращения затрат на обслуживание оборудования и получения дополнительной гибкости при изменении объемов цифрового трафика и нагрузки на сеть. Сейчас бизнес уже не выбирает между облаком и собственной инфраструктурой — он управляет их сочетанием, балансируя между стоимостью, рисками, требованиями регуляторов и доступностью технологий. Мы уже рассматривали динамику и структуру этого рынка по основным продуктам, поэтому здесь приведем основные тренды, которые будут определять его развитие в ближайшей перспективе.

Анализ спроса на маркетплейсах: какие инсайты дают исследования и как их использовать брендам для увеличения продаж
21.04.2026
Анализ спроса на маркетплейсах: какие инсайты дают исследования и как их использовать брендам для увеличения продаж

Сегодня маркетплейсы живут в режиме «здесь и сейчас»: спрос на товары может меняться буквально за несколько дней. Причинами становятся разные факторы — сезонность, тренды, экономическая ситуация, а иногда и один вирусный ролик в социальных сетях, запускающий ажиотаж. Если вчера покупатель искал люксовые помады «как у любимого блогера», сегодня он выбирает экологичные губки для посуды, а завтра его внимание захватит новый тренд из «VK Видео». Такая динамика — одновременно вызов и возможность. На примере реального кейса показываем, как анализ спроса на маркетплейсах дает брендам, способным оперативно реагировать на изменения, значительное конкурентное преимущество.

Где заканчиваются данные и начинается интерпретация: главные ошибки в анализе данных в e-commerce
16.04.2026
Где заканчиваются данные и начинается интерпретация: главные ошибки в анализе данных в e-commerce

На первый взгляд в e-commerce все лежит на поверхности и легко измеримо: клики, конверсия, показатели по возвратам и т. п. Но за кажущейся простотой скрывается риск ошибочной интерпретации данных. Причина проста: показатели, цифры хорошо измеряют и отражают то, что произошло, но не дают понимания, почему это произошло. Например, отчет содержит информацию о том, что конверсия по карточке товара снизилась с 3,8% до 3,1%. Аналитик делает вывод, что проблема заключается в новом фото или в описании карточки и предлагает менять ее дизайн. Но в реальности причина может быть связана с ростом цены, изменением источника трафика или с сезонными колебаниями спроса. В e-commerce ошибки в анализе данных особенно опасны, т. к. любое неверное решение очень быстро повлияет на выручку.

Анализ рынка картофеля и основные тенденции на рынке семенного картофеля в России
14.04.2026
Анализ рынка картофеля и основные тенденции на рынке семенного картофеля в России

Картофель входит в число базовых продовольственных культур, обеспечивающих устойчивый спрос и стабильную загрузку аграрного производства в странах с высоким уровнем развития сельского хозяйства. Рынок картофеля в России формально остается одним из крупнейших в мире по объемам сбора урожая, при этом ключевым фактором его развития является наличие качественного исходного материала — семенного фонда. При текущем уровне самообеспеченности и сохраняющейся зависимости от импорта именно сегмент семенного картофеля остается критическим ограничением для производителей и инвесторов.

Дефицит кадров в АПК: почему обучение агрономов перестало работать и кто в зоне риска
09.04.2026
Дефицит кадров в АПК: почему обучение агрономов перестало работать и кто в зоне риска

Аграрный сектор сегодня — это высокотехнологичная отрасль, которая использует цифровые платформы, внедряет точное земледелие и работает со сложной техникой. Но есть одно «узкое горлышко», которое тормозит развитие даже самых оснащенных холдингов: дефицит кадров в АПК. Причем вопрос здесь не в количестве дипломов, а в реальной квалификации специалистов на земле. Рынок столкнулся с парадоксом: вакансий много, а работать некому.

Рынок недвижимости России в 2026 году: сценарии развития, цены и изменение спроса
07.04.2026
Рынок недвижимости России в 2026 году: сценарии развития, цены и изменение спроса

Развитие рынка недвижимости в России в 2026 году определяется стоимостью заемных средств и доступностью адресных ипотечных программ, которые напрямую задают уровень платежеспособности покупателей. На этом фоне сделки концентрируются в проектах, в которых можно заранее просчитать финансовую нагрузку на весь период платежей и предлагаются удобные условия оплаты. Девелоперы перестраивают предложение с учетом этих тенденций, а покупатели принимают решения исходя из ограничений собственного бюджета, а также предлагаемых условий и сроков ипотечного договора.

Российский рынок соевого масла: динамика производства, экспорта и перераспределение спроса
02.04.2026
Российский рынок соевого масла: динамика производства, экспорта и перераспределение спроса

Рынок соевого масла в России в последние годы развивается быстрее, чем многие смежные сегменты отрасли переработки масличных культур. Главные причины — наличие больших запасов сырья и рост спроса в связи с более низкой, чем у товаров-конкурентов, ценой. Хотя этот рынок исторически ориентирован на экспорт, внутреннее потребление растет и компенсирует снижение объемов поставок за рубеж.