Бизнес-план Завод по производству соли

Бизнес-план Завод по производству соли
 

 

Строительства завода по производству пищевой соли

Строительства завода по производству пищевой соли

Ноябрь, 2012

Оглавление

1. Резюме проекта 8

2. Сущность предлагаемого проекта 11

2.1 Описание проекта и предлагаемой продукции 11

2.2 Особенности организации проекта 13

2.3 Информация об участниках проекта 13

2.4 Местоположение проекта 13

2.5 Анализ ассортиментного портфеля организации 13

3. Маркетинговый план 14

3.1 Обзор рынка пищевой соли в РФ 14

3.2 Основные тенденции на рынке 19

3.3 Анализ импорта 19

3.4 Анализ экспорта 32

3.5 Анализ потребителей. Сегментация потребителей 33

3.6 Обзор потенциальных конкурентов 35

3.7 Прогноз развития рынка 41

3.8 Ценообразование на рынке 41

3.9 Концепция продвижения продукции 43

4. Производственный план 44

4.1 Описание зданий и помещений 44

4.2 Описание оборудования 44

4.3 Описание технологического процесса 46

4.4 Сырье, материалы и комплектующие 46

5. Организационный план 47

5.1 План по персоналу 47

5.2 План график работ по проекту 47

5.3 Источники, формы и условия финансирования 48

6. Окружение проекта 49

6.1 Юридический аспект и государственное регулирование отросли 49

6.2 Оценка перспектив развития данного рынка с учетом вступления России в ВТО 49

6.3 Экологический аспект 49

7. Финансовый план 50

7.1 Исходные данные и допущения 50

7.2 Номенклатура и цены 50

7.3 Инвестиционные издержки 50

7.4 Налоговые отчисления 51

7.5 Операционные издержки (постоянные и переменные) 53

7.6 План продаж 55

7.7 Расчет выручки 55

7.8 Прогноз прибылей и убытков 55

7.9 Прогноз движения денежных средств 56

7.10 Анализ эффективности проекта 58

7.10.1 Показатели эффективности проекта 58

7.11 Анализ рисков проекта 61

7.11.1 Качественный анализ рисков 61

8. Приложения 62

8.1 Отчет о движении денежных средств по месяцам, тыс. руб. 62

Приложения (диаграммы, схемы, рисунки)

Рисунок 1.1 График реализации проекта 9

Рисунок 1.2 График NPV проекта 10

Рисунок 2.1 Пищевая соль класса «Экстра» 11

Рисунок 3.1 Динамика российского производства соли 14

Рисунок 3.2 Сегментация производства соли 15

Рисунок 3.3 Сегментация соли по видам, согласно Приложению «В» к ГОСТу 51574 – 2000 16

Рисунок 3.4 Сегментация рынка пищевой соли по классам 17

Рисунок 3.5 Сегментация ассортимента пищевой соли по признаку йодированная/чистая 17

Рисунок 3.6 Сегментация ассортимента пищевой соли по помолу 18

Рисунок 3.7 Сегментация российского рынка соли 18

Рисунок 3.8 Объем и динамика импорта в натуральном и денежном выражении 19

Рисунок 3.9 Сегментация импорта соли 20

Рисунок 3.10 Объем и динамика экспорта в натуральном и денежном выражении 32

Рисунок 3.11 Динамика экспорта и импорта, т 32

Рисунок 3.12 Сегментация производства соли в РФ 38

Рисунок 3.14 Динамика цен производителей соли в расфасовке руб/т 41

Рисунок 3.15 Динамика цен на соль дистрибьюторов 41

Рисунок 5.1 График реализации проекта 48

Рисунок 7.1 График выхода на проектную мощность 55

Рисунок 7.2 График NPV проекта 60

Приложения (таблицы)

Таблица 1.1 График реализации проекта 8

Таблица 1.2 Основные финансовые показатели 9

Таблица 3.1 Классификация ассортимента соли с точки зрения товароведения 15

Таблица 3.2 Структура импорта по странам производителям 20

Таблица 3.3 Структура импорта по фирмам изготовителям 21

Таблица 3.4 Структура импорта по компаниям-получателям 24

Таблица 3.5 Структура импорта по регионам получения 31

Таблица 3.6 Доля экспорта в производстве 32

Таблица 3.7 Потребление соли населением, т 33

Таблица 3.8 Потребление соли производствами солений и консервов 33

Таблица 3.9 Потребление соли на производство медицинских солевых растворов, т 34

Таблица 3.10 Потребление соли сферой животноводства, т 34

Таблица 3.11 Сегментация российского производства соли по регионам 35

Таблица 3.12 Сегментация производства соли по регионам и фирмам производителям 35

Таблица 3.13 Список всех компаний продающих, производящих и перерабатывающих соль 36

Таблица 3.14 Ценовая политика конкурентов 39

Таблица 3.15 Цены производителей соли, добыча и в расфасовке, руб./т 41

Таблица 3.16 Цены дистрибьюторов 41

Таблица 17. Средняя цену за тонну по странам-экспортерам 42

Таблица 4.1 Перечень и стоимость оборудования завода 44

Таблица 5.1 Персонал и зарплата 47

Таблица 5.2 График реализации проекта 47

Таблица 5.3 Основные параметры кредита 48

Таблица 7.1 Наименование и цены 50

Таблица 7.2 Наименование и цены 50

Таблица 7.3 Налоговое окружение 52

Таблица 7.4 Постоянные издержки 53

Таблица 7.5 Переменные издержки 53

Таблица 7.6 Нормы расхода электроэнергии 54

Таблица 7.7 Нормы расхода газа 54

Таблица 7.8 Нормы расхода воды 54

Таблица 7.9 План выручки по годам, тыс. руб. 55

Таблица 7.10 Отчет о прибылях и убытках 55

Таблица 7.11 Прогноз движения денежных средств 56

Таблица 7.12 Показатели эффективности инвестиций 60

Таблица 7.13 Основные риски проекта 61

Методологические комментарии к исследованию

Настоящий бизнес-план представляет собой проект осуществления бизнес-операций, действий фирмы, содержащая сведения о фирме, товаре, его производстве, рынках сбыта, маркетинге, организации операций и их эффективности.

Период планирования – 2012-2020 гг.

Актуальность исследования – декабрь 2012 года.

Объект и предмет исследования и планирования

Объектом исследования является рынок пищевой соли России.

Предметом исследования являются месторождения соли, производители пищевой соли РФ, основные потребители и потенциальные сферы сбыта продукции.

Цели и задачи исследования

Цель бизнес-планирования: изучение и анализ российского рынка пищевой соли, в том числе оценка перспектив развития.

Задачи исследования:

оценка объема и емкости рынка;

описание структуры рынка;

конкурентный анализ игроков рынка;

анализ потребителей;

оценка тенденций и перспектив развития рынка;

оценка экономической эффективности проекта

Источники информации

База данных государственных органов статистики (информация по производственным показателям крупных компаний, по показателям финансово-экономической деятельности более чем 4,5 млн. российских предприятий, отраслевые показатели);

Отраслевая статистика;

Данные государственных структур, в том числе Министерства экономического развития, Федеральной таможенной службы России (ФТС РФ), ОАО «РЖД»;

Специализированные базы данных Агентства «MegaResearch»;

Рейтинги;

Информационные ресурсы участников рынка;

Отраслевые и специализированные информационные порталы;

Материалы сайтов исследуемой тематики (web-ресурсы производителей и поставщиков, электронные торговые площадки, доски объявлений, специализированные форумы, Интернет-магазины);

Региональные и федеральные СМИ;

Порталы раскрытия информации (отчетность открытых акционерных обществ);

Распространение Бизнес-плана

Материалы Бизнес-плана не предназначены для широкого распространения или публикации и не могут быть воспроизведены или переданы третьим сторонам.

Распространение либо тиражирование настоящего документа, либо его части без письменного согласия Исполнителя запрещается.

При предоставлении бизнес-плана пользователям до их сведения должны быть доведены цели данного документа, допущения, принятые для его составления, а также все существующие ограничения по использованию.

Объем анализа

Бизнес-план подготовлен на основании информации, полученной из общедоступных источников.

Ограничение ответственности

Все мнения, выводы и оценки, содержащиеся в настоящем бизнес-плане действительны на дату его составления. Исполнитель не несет ответственности за изменение экономических, политических, социальных и иных условий, которые могут оказать влияние на обоснованность данных суждений.

Исполнитель не несет ответственности за какие-либо убытки или ущерб, понесенные третьей стороной в результате использования информации данного бизнес-плана.

Резюме проекта

Целью предлагаемого проекта является организация производства по добыче и переработке пищевой соли в …

Способом достижения целей проекта является строительство завода по производству пищевой соли на земельном участке … Добыча минерала будет осуществляться путем выпаривания рассола, который будет добываться из скважин …

В рамках проекта планируется взять в аренду земельный участок площадью 6 га на который подведены коммуникации (пресная вода и электроэнергия), провести там строительство завода по производству пищевой соли для ее дальнейшей реализации с целью укрепления на рыночной нише Северо-западного и Центрального федеральных округов. Предварительно к площадке будет подведена дорога.

Посмотрите готовые маркетинговые исследования рынка соли подготовленные исследовательским агентством MegaResearch.

Процесс выхода на рынок будет сопровождаться активной рекламной кампанией по средствам СМИ и наружной рекламы. Идейной основой проекта является обеспечение потребителей СЗАО, ЦФА и других регионов высококачественной пищевой солью отечественного производства.

Этапы реализации проекта создания завода приведены в таблице 1.1:

Таблица 1.1 График реализации проекта

Этап проекта

Начало работ

Длительность, дней

Конец работ

Обоснование эффективности проекта

     

Разведочные работы

     

Получение финансирования проекта

     

Аренда земельного участка, заключение необходимых договоров

     

Проектирование здания завода

     

Строительство завода

     

Ввод 1 скважины

     

Начало работы завода

     

Проведение рекламной компании

     

Ввод 2 скважины

     

Ввод 3 скважины

     

Ввод 4 скважины (выход на проектную мощность)

     

Источник: анализ и расчеты Megaresearch

Начало и продолжительность работ отображаются в графическом виде на рисунке 1.1:

Рисунок 1.1 График реализации проекта

***

Источник: анализ и расчеты MegaResearch

Инвестиции

Объем инвестиций в реализацию проекта составляет ... руб. Период окупаемости рассматриваемого проекта составляет … с учетом дисконтирования.

Основные финансовые показатели по проекту представлены в таблице 1.2:

Таблица 1.2 Основные финансовые показатели

Финансовые показатели

Чистый денежный поток NPV, рублей

 

Внутренняя норма доходности IRR (мес.), %

 

Индекс доходности PI, ед.

 

Период окупаемости PB, мес.

 

Дисконтированный период окупаемости DPB, мес.

 

Инвестиции в проект, рублей

 

Средняя рентабельность продаж по проекту, %

 

Ставка дисконтирования, %

 

Ниже на рисунке 1.2 показан график NPV проекта:

Рисунок 1.2 График NPV проекта

Рисунок 1.2 График NPV проекта

На графике NPV мы видим возрастание чистой приведенной стоимости проекта по годам его реализации.

Чистый дисконтированный доход проекта составит ... руб.

Сущность предлагаемого проекта

Описание проекта и предлагаемой продукции

Проект строительства завода по производству соли предполагает полный цикл работ на участке, расположенном в …

В рамках реализации проекта будет построен участок дороги …

В течение первого года реализации проекта планируется ввести в работу ...

Будет построено производственное здание, смонтировано оборудование для полного цикла переработки сырья и производства пищевой соли. Здание будет включать в себя производственные помещения различного назначения (линию оборудования для выпаривания, производственную линию по обогащению, сортировке, упаковке и т.д.), а так же административно-бытовое помещение и контрольно-пропускной пункт.

Территория завода будет благоустроена, построены все внутренние дороги, установлены мачты уличного освещения, засеяны газоны. Проект предполагает парковку на 10 машина-мест (с учетом гостей), а также площадку для разворота грузового транспорта Заказчиков при самовывозе продукции.

Описание продукции

Поваренная соль (хлорид натрия, Na Cl; употребляются также названия «хлористый натрий», «столовая соль», «каменная соль», «пищевая соль» или просто «соль») — пищевой продукт. В молотом виде представляет собой мелкие кристаллы белого цвета. Поваренная соль природного происхождения практически всегда имеет примеси других минеральных солей, которые могут придавать ей оттенки разных цветов (как правило, серого). Производится в разных видах: очищенная и неочищенная (каменная соль), крупного и мелкого помола, чистая и йодированная, морская, и так далее.

Соль жизненно необходима для жизнедеятельности человека, равно как всех прочих живых существ. Ион хлора в соли является основным материалом для выработки соляной кислоты — важного компонента желудочного сока. Суточная потребность в соли составляет 10-15 г, а в условиях жаркого климата, вследствие повышенного потоотделения, — до 25-30 г.

Рисунок 2.1 Пищевая соль класса «Экстра»

Рисунок 2.1 Пищевая соль класса «Экстра»

Источник: http://images.yandex.ru

Соль имеет свыше 14 тысяч областей применения:

В химической промышленности хлорид натрия используют в качестве сырья или основного компонента для получения неорганических кислот, оксидов и щелочей (сода каустическая), каучука, химических удобрений, красителей, полимеров и пр. Соль является основой для производства пластмасс, включая ПВХ, алюминия, бумаги, мыла, стекла. Соль служит также сырьем для получения хлористого водорода и кремнефтористого натрия.

В фарфорофаянсовом производстве соль используется для выработки глазури.
Еще соль применяют для приготовления изотонических растворов и лекарственных средств, для очистки и подготовки воды, для обработки шкур животных и даже для борьбы с гололедом.
В пищевой промышленности поваренная соль широко используется при переработке пищевых продуктов и приготовлении пищи, при этом она не только улучшает вкусовые качества блюд, но и задерживает развитие вредных бактерий в продуктах, регулирует ферментацию при выпечке хлеба, производстве сыра и пр. В рыбной промышленности соль применяют при солении, мариновании, консервировании, вялении, копчении и прочих процессах обработки рыбы.

Медицина и биология требуют соль как для приготовления физиологических растворов, однохлористой меди, сулемы, каломели, глауберовой соли, так и для выработки пирамидона, антипирина и еще очень многих лекарств.

Поваренная соль необходима не только химикам, физиологам, врачам, физикам, биологам, металлургам, но и инженерам холодильной промышленности, которые пользуются ею для создания «искусственного холода».

Пищевые продукты часто консервируются холодом. Низкие температуры в холодильниках достигаются смесью льда с поваренной солью или специальными механическими холодильными установками.

В настоящее время поваренная соль является наиболее дешевым материалом для получения охлаждающей смеси.

В табачной промышленности соль также иногда необходима при производстве некоторых сортов табака. Впервые соль была употреблена в XVIII веке при обработке высокосортного табака. Прибегнуть к соли заставили два соображения: во-первых, соль предохраняет от гниения органические вещества, которые находятся в табаке в достаточно большом количестве.

Она входит в состав некоторых минеральных удобрений, применяемых в тепличных хозяйствах для лучшего вызревания овощей в зимний период.

Косметические средства на основе морских продуктов содержат также природную соль.

Особенности организации проекта

Особенностью данного проекта является то, что …

Скважины по добычи рассола будут …

Информация об участниках проекта

Местоположение проекта

...

Анализ ассортиментного портфеля организации

...

Маркетинговый план

Обзор рынка пищевой соли в РФ

В России добыча соли является одним из старейших промыслов. В настоящее время в нашей стране производятся следующие виды соли: соль в растворах, выпаренная соль (озерная и морская), каменная соль, высококачественная вакуумная соль. Объем выпуска последнего вида соли незначителен.

В структуре добычи поваренной соли по федеральным округам на данный момент практически 70% объема добычи поваренной соли приходятся на Южный федеральный округ, причем удельный вес Южного федерального округа за последний год вырос, небольшой рост произошел также и в Сибирском федеральном округе.

Россия осуществляет как экспорт, так и импорт соли, однако преимущественно является солевым импортером, поскольку объемы импорта превосходят экспорт в десятки раз. Как экспорт, так и импорт соли ориентированы в основном на страны СНГ: …

За последние три года на российском рынке соли …

В настоящее время на российском рынке лидирующими производителями соли (поваренной) является …

На рисунке 3.1 приведена динамика производства соли в России:

Рисунок 3.1 Динамика российского производства соли

Динамика российского производства соли

Источник: РОССТАТ, ФТС РФ

В 2011 году объем производства соли в России составил …

Рассмотрим отношение пищевой соли и прочей соли из всей соли добываемой в России.

Рисунок 3.2 Сегментация производства соли

Рисунок 3.2 Сегментация производства соли

Источник: РОССТАТ

В 2011 году в Россию было импортировано …

Таким образом, объем рынка пищевой соли составил …

Емкость рынка именно пищевой соли (т.е. соли используемой в пищу) в России составляет …

На сегодняшний день на территории России известны следующие месторождения соли:

Баскунчакское  месторождение, добыча из озера  Баскунчак . Для вывоза соли была построена  Баскунчакская железная дорога . Разрабатывает ООО «Руссоль».

Таблица 3.1 Классификация ассортимента соли с точки зрения товароведения

Классификационный признак

Наименование соли

Способ производства

 

Способ обработки

 

Качество/ сорт (в т. ч. по ГОСТу)

 

Гранулометрический состав

 

ПО характеру обработки

 

Дополнительные варианты сегментации соли по ассортименту

 

Источник: аналитически портал по товароведению

На рисунке 3.3 показана сегментация соли по видам, согласно Приложению «В» к ГОСТу 51574-2000:

Рисунок 3.3 Сегментация соли по видам, согласно Приложению «В» к ГОСТу 51574 – 2000

Рисунок 3.4 Сегментация рынка пищевой соли по классам

Рисунок 3.4 Сегментация рынка пищевой соли по классам

Источник: РОССТАТ, ФТС РФ, интервью участников рынка

На российском рынке представлены все виды соли. Наиболее востребованный в потреблении сегмент пищевой соли – это выварочная соль «Экстра». Согласно мнению потребителей является лучшей по качеству. Часто потребители выбирают йодированную соль, или соль со специями.

Рисунок 3.5 Сегментация ассортимента пищевой соли по признаку йодированная/чистая

Рисунок 3.5 Сегментация ассортимента пищевой соли по признаку йодированная/чистая

Источник: РОССТАТ, ФТС РФ, интервью участников рынка

В связи с ...

Рисунок 3.6 Сегментация ассортимента пищевой соли по помолу

Рисунок 3.6 Сегментация ассортимента пищевой соли по помолу

Источник: РОССТАТ, ФТС РФ, интервью участников рынка

Согласно опросам аналитического портала evrazia.org более …% потребителей сказали, что употребляют ...

Рассмотрим доли игроков на российском рынке соли, включая долю импорта.

Рисунок 3.7 Сегментация российского рынка соли

Рисунок 3.7 Сегментация российского рынка соли

Источник: РОССТАТ, ФТС РФ

Как видно из диаграммы 62% российского рынка занимает соль производства …

Основные тенденции на рынке

В настоящий момент на рынке соли России прослеживается явная тенденция к ..

Несмотря на …

Влияние на рынок необходимо рассматривать с двух сторон: …

Анализ импорта

Соль (включая соль столовую и денатурированную) и хлорид натрия чистый, растворенные или не растворенные в воде, или содержащие или не содержащие добавки агентов, препятствующих слипанию или обеспечивающих сыпучесть, в динамике импорта представлены на рисунке 3.8:

Рисунок 3.8 Объем и динамика импорта в натуральном и денежном выражении

Рисунок 3.8 Объем и динамика импорта в натуральном и денежном выражении

Источник: ФТС РФ

В 2011 году в Россию было импортировано соли на сумму …

Рассмотрим долю пищевой соли в общем объеме импорта.

Рисунок 3.9 Сегментация импорта соли

Рисунок 3.9 Сегментация импорта соли

Источник: ФТС РФ

Пищевая соль составляет около 36% от всего импорта соли.

Рассмотрим структуру импорта по странам производителям.

Таблица 3.2 Структура импорта по странам производителям

Страна-производитель

Вес, тонн

Стоимость, тыс. руб.

Общий итог

   

УКРАИНА

   

ДАНИЯ

   

СЛОВЕНИЯ

   

НИДЕРЛАНДЫ

   

ИЗРАИЛЬ

   

БЕЛЬГИЯ

   

ИСПАНИЯ

   

МЕКСИКА

   

КИТАЙ

   

ИТАЛИЯ

   

АВСТРИЯ

   

ГЕРМАНИЯ

   

ФРАНЦИЯ

   

КИПР

   

ИРАН

   

Белорусия

   

ПОЛЬША

   

АВСТРАЛИЯ

   

ВЬЕТНАМ

   

ЯПОНИЯ

   

СЛОВАКИЯ

   

ФИНЛЯНДИЯ

   

ВЕЛИКОБРИТАНИЯ

   

США

   

ПАКИСТАН

   

ПОРТУГАЛИЯ

   

ШВЕЦИЯ

   

ТУРЦИЯ

   

ЮАР

   

СОЕДИНЕННОЕ КОРОЛЕВСТВО

   

ТАИЛАНД

   

ХОРВАТИЯ

   

ИНДИЯ

   

ГРЕЦИЯ

   

РУМЫНИЯ

   

ЭСТОНИЯ

   

СОЕДИНЕННЫЕ ШТАТЫ

   

Источник: ФТС РФ

Основной страной-экспортёром соли в 2011 году выступила …

Рассмотрим структуру импорта по фирмам изготовителям.

Таблица 3.3 Структура импорта по фирмам изготовителям

Фирма-изготовитель

Вес, тонн

Общий итог

 

ГП АРТЕМСОЛЬ

 

ООО СЛАВЯНСКАЯ СОЛЕДОБЫВАЮЩАЯ КОМПАНИЯ

 

AKZO NOBEL FUNCTIONAL CHEMICALS B.V.

 
   
   
   
   
   
   
   
   
   
   
   
   
   
   
   
   
   
   
   
   
   
   
   
   
   
   
   
   
   
   
   
   
   
   
   
   
   
   
   
   
   
   
   
   
   
   
   
   
   
   
   
   
   
   
   
   
   
   
   
   
   
   
   
   
   
   
   
   
   
   
   
   
   
   
   
   
   
   
   
   
   
   
   
   
   
   
   
   
   
   
   

Источник: ФТС РФ

Наибольшее количество соли в Россию отправили …

Рассмотрим структуру импорта по компаниям-получателям.

Таблица 3.4 Структура импорта по компаниям-получателям

Названия фирмы-получателя

Вес в тоннах

Стоимость в тыс. руб.

Всего

   

ООО БРИЗ

   

ООО Торговый дом Соль Черноземья

   
     
     
     
     
     
     
     
     
     
     
     
     
     
     
     
     
     
     
     
     
     
     
     
     
     
     
     
     
     
     
     
     
     
     
     
     
     
     
     
     
     
     
     
     
     
     
     
     
     
     
     
     
     
     
     
     
     
     
     
     
     
     
     
     
     
     
     
     
     
     
     
     
     
     
     
     
     
     
     
     
     
     
     
     
     
     
     
     
     
     
     
     
     
     
     
     
     
     
     
     
     
     
     
     
     
     
     
     
     
     
     
     
     
     
     
     
     
     
     
     
     
     
     
     
     
     
     
     
     
     
     
     
     
     
     
     
     
     
     
     
     
     
     
     
     
     
     
     
     
     
     
     
     
     
     
     
     
     
     
     
     
     
     
     
     
     
     
     
     
     
     
     
     
     
     
     
     
     
     
     
     
     
     
     
     
     
     
     
     
     
     
     
     
     
     
     
     
     
     
     
     
     
     
     
     
     

Источник: ФТС РФ

Среди компаний-получателей наибольшее количество соли получило …

Рассмотрим структуру импорта по регионам получения.

Таблица 3.5 Структура импорта по регионам получения

Регион получения

Вес, тонн

Стоимость в тыс. руб.

Всего

   

БЕЛГОРОД И БЕЛГОРОДСКАЯ ОБЛ

   

ВОРОНЕЖСКАЯ ОБЛ И ВОРОНЕЖ

   

РОСТОВСКАЯ ОБЛАСТЬ И РОСТОВ-НА-ДОНУ

   

КРАСНОДАРСКИЙ КРАЙ

   

САНКТ-ПЕТЕРБУРГ И ЛЕНИНГРАДСКАЯ ОБЛ

   

БРЯНСК И БРЯНСКАЯ ОБЛ

   

МОСКВА И МОСКОВСКАЯ ОБЛ

   

СТАВРОПОЛЬСКИЙ КРАЙ

   

КУРСКАЯ ОБЛАСТЬ

   

КАБАРДИНО-БАЛКАРСКАЯ РЕСПУБЛИКА

   

КАЛИНИНГРАДСКАЯ ОБЛ

   

КАЛУГА И КАЛУЖСКАЯ ОБЛ

   

ОРЛОВСКАЯ ОБЛАСТЬ

   

ТВЕРЬ

   

ТУЛЬСКАЯ ОБЛАСТЬ И ТУЛА

   

Не указан

   

МУРМАНСКАЯ ОБЛ

   

ЯРОСЛАВСКАЯ ОБЛ

   

ПСКОВ

   

СВЕРДЛОВСКАЯ ОБЛ

   

КАМЧАТСКИЙ КРАЙ

   

КОСТРОМА

   

ЕВРЕЙСКАЯ АВТОНОМНАЯ ОБЛАСТЬ

   

ПЕРМСКИЙ КРАЙ

   

ИВАНОВО И ИВАНОВСКАЯ ОБЛ

   

САХАЛИНСКАЯ ОБЛ

   

ВЕЛИКИЙ НОВГОРОД

   

АРХАНГЕЛЬСК

   

РЯЗАНСКАЯ ОБЛ

   

ПРИМОРСКИЙ КРАЙ

   

НИЖНИЙ НОВГОРОД

   

АЛТАЙСКИЙ КРАЙ

   

Источник: ФТС РФ

Больше всего соли поставляется в …

Анализ экспорта

Рассмотрим объем и динамику экспорта российской соли в натуральном и денежном выражении

Рисунок 3.10 Объем и динамика экспорта в натуральном и денежном выражении

***

Источник: ФТС РФ

Наибольший объем экспорта пришелся на …

Рисунок 3.11 Динамика экспорта и импорта, т

***

Источник: ФТС РФ

Объем импорта ...

Рассмотрим долю экспорта в производстве пищевой соли в России.

Таблица 3.6 Доля экспорта в производстве

 

2009

2010

2011

Экспорт

     

Производство

     

Доля экспорта

     

Доля экспорта …

Анализ потребителей. Сегментацияпотребителей

В России производят различные виды соли. Большая часть пищевой соли поступает на рынок от производителей как весовая соль, для дальнейшей переработки или/и расфасовки.

На сегодняшний день …

Рассмотрим потребление пищевой соли населением непосредственно в пищу.

Таблица 3.7 Потребление соли населением, т

2009

2010

2011

     

Источник: Росстат

Рассмотрим потребление пищевой соли производителями солений.

Таблица 3.8 Потребление соли производствами солений и консервов

Вид производства

2009

2010

2011

ПРОИЗВОДСТВО, Сельдь среднесоленая (15.20.13.320), т

     

ПРОИЗВОДСТВО, Сельдь слабосоленая (15.20.13.310), т

     

ПРОИЗВОДСТВО, Сельдь крепкосоленая (15.20.13.330), т

     

ПРОИЗВОДСТВО, Рыба (кроме сельди) среднесоленая (15.20.13.120), т

     

ПРОИЗВОДСТВО, Рыба (кроме сельди) соленая (15.20.13.101), т

     

ПРОИЗВОДСТВО, Рыба (кроме сельди) слабосоленая (15.20.13.110), т

     

ПРОИЗВОДСТВО, Рыба (кроме сельди) крепкосоленая (15.20.13.130), т

     

ПРОИЗВОДСТВО, Овощи консервированные - всего (15.33.14.002), тыс усл банк

     

Всего

     

Источник: Росстат

Рассмотрим потребление пищевой соли для производства медицинских соляных растворов.

Таблица 3.9 Потребление соли на производство медицинских солевых растворов, т

2009

2010

2011

     

Источник: Росстат

Потребление соли …

Рассмотрим потребление пищевой соли сферой животноводства

Таблица 3.10 Потребление соли сферой животноводства, т

2009

2010

2011

     

Источник: Росстат

Животноводство – достаточно серьезная отрасль потребление соли. В 2011 году отрасль потребила …

Но все же наибольшее потребление пищевой соли, это конечно потребление соли непосредственно в пищу населением.

Анализ факторов спроса

Объем импорта в потреблении

Описание потребительских предпочтений (в том числе по виду упаковки)

Основные критерии выбора поставщиков на рынке соли приведены ниже:

...

Восприятие ценовой политики существующих поставщиков

Обзор потенциальных конкурентов

В рынок пищевой соли можно назвать насыщенным (чего нельзя сказать о рынке соли в целом). …

Одним из крупнейших поставщиков соли на российский рынок является …

Однако, ...

Рассмотрим сегментацию производства по регионам.

Таблица 3.11 Сегментация российского производства соли по регионам

 Регион

2009

2010

2011

Тульская область (70)

     

Саха (Якутия), Республика (98)

     

Пермский край (57)

     

Оренбургская область (53)

     

Иркутская область (25)

     

Волгоградская область (18)

     

Астраханская область (12)

     

Алтайский край (01)

     

Россия

     

Источник: Росстат

Следует понимать, что …

Таблица 3.12 Сегментация производства соли по регионам и фирмам производителям

Компания

Регион

Объем добычи

     
     
     
     
     
     

Источник: Росстат

Основные компании-конкуренты: объем производства и доля на рынке

Рассмотрим список всех компаний, чья деятельность так или иначе связана с продажей и производством соли.

Таблица 3.13 Список всех компаний продающих, производящих и перерабатывающих соль

Название

Адрес

Телефон

ИНН/ОГРН

       
       
       
       
       
       
       
       
       
       
       
       
       
       
       
       
       
       
       
       
       
       
       
       
       
       
       
       
       
       
       
       
       
       
       
       
       
       
       
       
       
       
       
       
       
       
       
       
       
       
       

Источник: Росстат

Рассмотрим сегментацию производство соли в России по компаниям.

Рисунок 3.12 Сегментация производства соли в РФ

Рисунок 3.12 Сегментация производства соли в РФ

Источник: Росстат

Следует понимать, что …

Основные дистрибьюторские компании и их доли на рынке

Крупнейшие дистрибьюторы – это оптовые сети, принадлежащие крупнейшим производителям.

Лидер по импорту соли в Россию компания …

Рейтинг крупнейших игроков

Из отечественных игроков лидирующую позицию на российском рынке занимает …

Единственной значимой российской компанией по добыче и производству соли, …

Из иностранных игроков лидирующие позиции занимают …

Анализ ценовой политики конкурентов

Рассмотрим цены на основные виды пищевой соли в различных розничных сетях

Таблица 3.14 Ценовая политика конкурентов

Торговая марка соли

Real

«Пятёрочка»

«Бахетле»

«Карусель»

«Эдельвейс»

           
           
           
           
           
           
           

Источник: мониторинг 11. 10. 2012 …

Схожие цены и в других сетевых местах продаж: …

Говоря о ценовой политике на рынке соли, …

Каналы сбыта компаний-конкурентов

На рынке представлено большое количество мелкооптовых сетей. Основной сбыт каждого из крупных поставщиков происходит через собственные крупнооптовые сбытовые сети…

Профили основных игроков

[информация представлена в полной версии бизнес-плана]

Прогноз развития рынка

[информация представлена в полной версии бизнес-плана]

Ценообразование на рынке

Анализ цен производителей (оптовые и розничные цены)

Рассмотрим цены производителей при добыче соли и соли в расфасовке в среднем по России.

Таблица 3.15 Цены производителей соли, добыча и в расфасовке, руб./т

Позиции 

2008

2009

2010

2011

2012

ЦЕНЫ ПРОИЗВОДИТЕЛЕЙ, Соль поваренная в расфасовке, руб. / т

         

ЦЕНЫ ПРОИЗВОДИТЕЛЕЙ, Соль поваренная (добыча), руб. / т

         

Источник: Росстат

Для наглядности динамики цен ниже представлен график.

Рисунок 3.13 Динамика цен производителей соли в расфасовке руб/т

***

Источник: Росстат

За период с 2008 года цены производителей на соль в расфасовке …

Анализ цен дистрибьюторов (оптовые и розничные цены)

Таблица 3.16 Цены дистрибьюторов

 

2008

2009

2010

2011

2012

Россия, руб./тонна

         

Источник: Росстат

Для наглядности динамики цен ниже представлен график.

Рисунок 3.14 Динамика цен на соль дистрибьюторов

***

Источник: Росстат

В 2012 году средняя потребительская цена на соль в России достигла …

Средняя цена импорта. Рассмотрим среднюю цену за тонну по странам-экспортерам.

Таблица 17. Средняя цену за тонну по странам-экспортерам

Регион-импортер

Средняя стоимость тонны

ИРАН

 

УКРАИНА

 

ИЗРАИЛЬ

 

КИТАЙ

 

МЕКСИКА

 

АВСТРАЛИЯ

 

ДАНИЯ

 

ИСПАНИЯ

 

КИПР

 

ПОРТУГАЛИЯ

 

СЛОВАКИЯ

 

БЕЛЬГИЯ

 

ЭСТОНИЯ

 

СОЕДИНЕННЫЕ ШТАТЫ

 

ИНДИЯ

 

ВЬЕТНАМ

 

СОЕДИНЕННОЕ КОРОЛЕВСТВО

 

ПАКИСТАН

 

ГЕРМАНИЯ

 

ШВЕЦИЯ

 

ФРАНЦИЯ

 

НИДЕРЛАНДЫ

 

ЯПОНИЯ

 

ТУРЦИЯ

 

ФИНЛЯНДИЯ

 

ГРЕЦИЯ

 

РАЗНЫЕ

 

США

 

Общий итог

 

Источник: ФТС РФ

Концепция продвижения продукции

При выходе на рынок компании с крупными объемами поставок, одним из наиболее перспективны сегментов видится …

[информация представлена в полной версии бизнес-плана]

Производственный план

Описание зданий и помещений

Сырье из места его добычи будет доставляться на завод переработки по железнодорожному сообщению. На территории завода предусмотрен пункт приема сырья с его последующим распределением.

Проектирование, строительство и поставка оборудования «под ключ» будет осуществляться машиностроительной корпорацией …

[информация представлена в полной версии бизнес-плана]

Описание оборудования

Строительство завода по производству пищевой соли будет осуществляться с использованием оборудования по выпарке рассолов производства …

Таблица 4.1 Перечень и стоимость оборудования завода

Оборудование

Стоимость

1

Бункер для сырой соли

 

2

Спиральный транспортер

 

3

Ленточный транспортер

 

4

   

5

   

6

   

7

   

8

   

9

   

10

   

11

   

12

   

13

   

14

   

15

   

16

   

17

   

18

   

19

   

20

   

21

   

22

   

23

   

24

   

25

   

26

   

27

   

28

   

29

   

30

   

31

   

32

   

33

   

34

   

Итого

 

Так же будет использовано оборудования для выкачки рассола из недр.

Описание технологического процесса

Соляные месторождения — это остатки высохшего древнего океана. Соляные пласты могут располагаться под землей (глубина их залегания может достигать) более 1 км, и на поверхности — в этом случае они часто образуют соляные озера. Эти залежи возникали на протяжении многих геологических периодов жизни земли, когда создавались благоприятные для их появления геохимические, гидрогеологические и климатические условия. Источником этих залежей является морская вода, из солей которой образовались и месторождения ископаемых солей, и соляные озера, и подземные рассолы.

Одним из способов добычи поваренной соли является …

[информация представлена в полной версии бизнес-плана]

Сырье, материалы и комплектующие

Для организации работы завода по производству пищевой соли необходимы следующие материалы и энергоресурсы:

Организационный план

План по персоналу

Все принимаемые работники будут приняты на работу после прохождения испытательного срока 1-3 месяца, и оформлены на работу по срочным трудовым договорам.

Все работники будут приняты на условиях полной занятости. Индексация заработной платы проводится 1 раз в год на 5 %.

После выхода на проектную мощность на заводе будет работать 200 человек, с учетом персонала, занятого при добыче сырья (таблица 5.1.):

Таблица 5.1 Персонал и зарплата

Персонал

Количество

Средняя з/п на 1 работника, руб./мес.

Зарплата всего

1

Персонал проекта 1 очередь

     

2

Персонал проекта 1-2 очередь

     

3

Персонал проекта 1-3 очередь

     

4

Персонал проекта после выхода на проектную мощность

     

НДФЛ исчисляется в процентах (13%) от совокупного дохода сотрудников.

План график работ по проекту

Этапы реализации проекта создания завода приведены в таблице 5.2:

Таблица 5.2 График реализации проекта

Этап проекта

Начало работ

Длительность, дней

Конец работ

Обоснование эффективности проекта

     

Разведочные работы

     

Получение финансирования проекта

     

Аренда земельного участка, заключение необходимых договоров

     

Проектирование здания завода

     

Строительство завода

     

Ввод 1 скважины

     

Начало работы завода

     

Проведение рекламной компании

     

Ввод 2 скважины

     

Ввод 3 скважины

     

Ввод 4 скважины (выход на проектную мощность)

     

Источник: анализ и расчеты Megaresearch

Начало и продолжительность работ отображаются в графическом виде на рисунке 5.1:

Рисунок 5.1 График реализации проекта

***

Источник: анализ и расчеты MegaResearch

Источники, формы и условия финансирования

Для реализации проекта планируется использование 100% заемных средств.

Предполагается получение долгосрочного целевого кредита под 16% годовых. Кредит выдается на 10 года и включает в себя каникулы по телу кредита 2 года. Проценты по кредиту начинают выплачиваться со следующего месяца получения кредита.

Основные параметры кредита предоставлены в таблице 5.3:

Таблица 5.3 Основные параметры кредита

Наименование

Мера

Показатель

Ставка

%

 

Срок кредита

мес.

 

Каникулы по телу кредита

мес.

 

Сумма кредита

тыс. руб.

 

За время пользования кредитом, переплата по данному проекту составит …

В рамках реализации данного проекта планируется …

Окружение проекта

Юридический аспект и государственное регулирование отросли

Для возможности осуществления деятельности по добыче полезных ископаемых, инициаторам проекта необходимо обратиться в …

После получения и регистрации лицензии …

[информация представлена в полной версии бизнес-плана]

Оценка перспектив развития данного рынка с учетом вступления России в ВТО

[информация представлена в полной версии бизнес-плана]

Экологический аспект

Лицензия должна содержать условия выполнения установленных законодательством, стандартами, нормами, правилами требований по охране недр и окружающей среды.

Основными экологическими требованиями являются:

В случае обнаружения …

Лица, открывшие или разведавшие неизвестное ранее месторождение …

Финансовый план

Исходные данные и допущения

При экономической оценке проекта был принят 10-и летний горизонт планирования. Ставка дисконтирования (…%), заложенная в расчеты приведенной стоимости (NPV), отражает наше допущение о том, что проект характеризуется сравнительно высоким уровнем риска (чувствительностью проекта к изменениям рынка в целом).

Амортизация начисляется линейным способом. Срок амортизации оборудования 20 лет. Срок амортизации зданий и сооружений – 25 лет.

Номенклатура и цены

Основной продукцией данной компании является пищевая соль. Ассортиментный перечень продукции приводится в разделе 2.5 данного бизнес-плана. Данный завод будет работать с крупнейшими поставщиками и дистрибьюторами соли, что подразумевает крупные оптовые поставки. В связи с этим расчет продукции приводится на 1 тонну.

В расчете приняты цены, указанные в таблице 7.1:

Таблица 7.1 Наименование и цены

Продукция

Стоимость, руб./тонна

Примечание

1

Соль пищевая

   

Инвестиционные издержки

Капитальные затраты, которые потребуются на реализацию проекта приводятся в таблице 7.2:

Таблица 7.2 Наименование и цены

Инвестиционные издержки

Сумма, руб.

 

Предварительные и проектные работы

 

1

   

2

   

3

   

4

   

 

   

1

   

2

   

4

   

5

   

1

   

2

   

4

   

 

Первоначальные маркетинговые затраты

 

1

   

2

   

 

Первоначальные оборотные средства

 

1

Первоначальные оборотные средства

 

 

Итого

 

 

Покрытие дефицита кэш-фло

 

 

Всего инвестиции в проект

 

Все затраты могут быть изменены в процессе проектирования, строительства и эксплуатации.

Покрытие дефицита кэш-фло ... рублей – это минимальные необходимые вложения, которые пойдут на выплату процентов по кредиту, оплату труда и закупку материалов, пока выручки по проекту еще недостаточно.

Налоговые отчисления

Предприятие использует общий режим налогообложения.

Под общим налоговым режимом (или как его часто называют ОСН), подразумевается режим выплаты налогов, установленный для организаций с различными организационно-правовыми формами (если они при этом не пользуются специальными налоговыми режимами).

Предприятия, которые пользуются ОСН, ведут полный учет с использованием всех бухгалтерских счетов, а также аналитики и субсчетов. Помимо этого, такие организации должны заполнять налоговые регистры с числом, не превышающим сотню. В случае ошибки бухгалтера при учете доходов и расходов, может быть воспринят налоговым органом как искусственное занижение доходов предприятия, что повлечет за собой наложение штрафных санкций.

Основные налоги режима показаны в Таблице 7.3:

Таблица 7.3 Налоговое окружение

Период

Ставка

Налог на прибыль

 

ФОТ

 

Страховые взносы в ПФРФ

 

ТФОМС

 

ФФОМС

 

ФСС

 

ОСС от НС

 

Налог на имущество

 

НДС

 

При ОСН производится уплата следующих видов налогов:
- НДС (ежеквартальная или ежемесячная уплата с ежеквартальной отчетностью);

- НДФЛ (ежемесячная выплата и ежегодная отчетность);

- налог на прибыль (ежеквартальные уплата и отчетность);

- акцизы (в случае производства или реализации спиртосодержащей и табачной продукции – ежемесячные уплата и отчетность);

- водный налог (ежеквартальные уплата и отчетность);

- налог на добычу полезных ископаемых (ежемесячные уплата и отчетность);

- налог на имущество (ежеквартально);

- транспортный налог (ежеквартально);

- налог на игорный бизнес (ежемесячно);

- земельный налог (ежеквартально).

Помимо этого, …

Операционные издержки (постоянные и переменные)

Постоянные издержки проекта представляют собой затраты на производство, не зависящие от изменения объема производства. К ним относятся, как правило, затраты на обслуживание и управление. Основные постоянные издержки завода по переработке соли представлены в таблице 7.4:

Таблица 7.4 Постоянные издержки

 

Показатель

Руб.

 

Общехозяйственные

 

1

   

2

   

3

   

4

   

5

   

6

   

7

   

 

Сбытовые

 

1

   

2

   

 

Непредвиденные расходы

 

 

ИТОГО с НДС

 

Переменные издержки проекта – это затраты на материалы, к которым в данном проекте относятся различные добавки, вода и энергоресурсы.

Таблица 7.5 Переменные издержки

Показатель

Руб.

1

Добавки: йод-составляющая, антислеживающие компоненты и др.

 

2

Вода

 

3

Электроэнергия

 

4

Газ

 

5

Транспортировка от скважины до завода

 

6

Упаковка

 

 

Итого с НДС

 

Потребность в энергоресурсах принималась из расчета на 1 тонну продукции. Затраты энергоресурсов для административных нужд учтены в постоянных издержках проекта.

Таблица 7.6 Нормы расхода электроэнергии

Наименование

Потребность на 1 тонну

Стоимость 1 кВт, руб.

Затрат в месяц, руб.

Электроэнергия

30 кВт/ч

   

Источник: расчеты MegaResearch

Затраты на электроэнергию отражаются по фактической себестоимости приобретения. Расчет производится на базе тарифа …

Таблица 7.7 Нормы расхода газа

Наименование

Потребность на 1 тонну

Стоимость 1 кВт, руб.

Затрат в месяц, руб.

Топливо (на примере дизеля)

10 литров

   

Источник: расчеты MegaResearch

Затраты на газ отражаются по фактической себестоимости приобретения. Расчет производится на базе оптовой цены на дизельное топливо, которая составляет …

Таблица 7.8 Нормы расхода воды

Наименование

Потребность на 1 тонну

Стоимость 1 кВт, руб.

Затрат в месяц, руб.

Вода

150 литров

   

Источник: расчеты MegaResearch

Для целей расчета затраты на водоснабжение принимались на уровне тарифов для центральных систем водопровода в среднем для России из расчета …

План продаж

Проект предполагает постепенный выход на проектную мощность предоставления услуг.

План выхода на проектную мощность показан на рисунке 7.1:

Рисунок 7.1 График выхода на проектную мощность

***

Расчет выручки

Расчет выручки формируется на основе плана продаж и цен на предоставляемые услуги и учитывает плановое развитие и расширение проекта. План выручки по годам таблице 7.9:

Таблица 7.9 План выручки по годам, тыс. руб.

Период

2013

2014

2015

2016

2017

2018

2019

2020

Соль пищевая

               

Прогноз прибылей и убытков

Отчет о прибылях и убытках по годам показан в таблице 7.10:

Таблица 7.10 Отчет о прибылях и убытках

P & L

2013

2014

2015

2016

2017

Объем продаж

         

Издержки проекта

         

Валовая прибыль

         

Зарплата персонала

         

Выплаты процентов по кредиту

         

Суммарные непроизводственные издержки

         

Прибыль до выплаты налога

         

Налоги

         

Чистая прибыль

         

Продолжение

2018

2019

2020

2021

2022

2023

2024

             
             
             
             
             
             
             
             
             

Прогноз движения денежных средств

Прогноз движения денежных средств по годам показан в 7.11. Прогноз движения денежных средств по месяцам показан в приложении.

Таблица 7.11 Прогноз движения денежных средств

C F F O

2013

2014

2015

2016

2017

Выручка

         

Переменные издержки проекта

         

Расходы на оплату труда

         

Налоги

         

ОСН

         

Социальный налог

         

Кэш-фло от операционной деятельности

         

Капитальные затраты (проект, СМР, др.)

         

Сырье/материалы

         

Оборудование

         

Амортизационные отчисления

         

Кэш-фло от инвестиционной деятельности

         

Собственные средства

         

Заемные средства

         

Выплаты процентов

         

Выплата тела долга

         

Кэш-фло от финансовой деятельности

         

Баланс наличности на начало периода

         

Баланс наличности на конец периода

         

Продолжение

2018

2019

2020

2021

2022

2023

2024

             
             
             
             
             
             
             
             
             
             
             
             
             
             
             
             
             
             
             

Анализ эффективности проекта

Показатели эффективности проекта

Показатели эффективности инвестиционного проекта позволяют определить эффективность вложения средств в тот или иной проект. При анализе эффективности инвестиционных проектов используются следующие показатели эффективности инвестиций:

Чистый дисконтированный (приведенный) доход (денежный поток), чистая приведенная стоимость, NPV

Период (срок) окупаемости, PB

Дисконтированный период окупаемости, DPB

Внутренняя норма доходности (рентабельности), норма возврата инвестиций, IRR

Индекс прибыльности, индекс рентабельности, индекс доходности, PI

Модифицированная внутренняя норма рентабельности, MIRR

Метод чистой приведенной стоимости (NPV - метод)

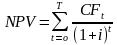
Чистый дисконтированный доход (чистая приведённая стоимость) (англ. Net present value, общепринятое сокращение — NPV (ЧДД)) – сумма дисконтированных одновременных разностей между выгодами и затратами по проекту. Сумма денежных потоков (поступлений и платежей), связанных с операционной и инвестиционной деятельностью, приведенных (дисконтированных) на момент начала осуществления инвестиций.

Чистый дисконтированный доход NPV рассчитывается по формуле 1.

Чистый дисконтированный доход NPV рассчитывается по формуле 1. (1.)

Где i — ставка дисконтирования;

CFt – чистый денежный поток периода t;

T – длительность проекта в периодах.

Расчёт NPV — стандартный метод оценки эффективности инвестиционного проекта и показывает оценку эффекта от инвестиции, приведённую к настоящему моменту времени с учётом разной временной стоимости денег. Если NPV больше 0, то инвестиция прибыльна, а если NPV меньше 0, то инвестиция убыточна.

С помощью NPV можно также оценивать сравнительную эффективность альтернативных вложений (при одинаковых начальных вложениях более выгоден проект с наибольшим NPV).

Положительные качества NPV:

чёткие критерии принятия решений

показатель учитывает стоимость денег во времени (используется коэффициент дисконтирования в формулах).

Отрицательные качества NPV:

показатель не учитывает риски.

не учитываются вероятность исхода события, так как все денежные потоки и коэффициент дисконтирования являются прогнозными значениями.

Метод периода окупаемости (PB)

Срок окупаемости (Payback period, PB) – ожидаемый период возмещения первоначальных вложений из чистых денежных поступлений. Время, за которое поступления от оперативной деятельности предприятия превысят затраты на инвестиции.

Период окупаемости PB рассчитывается по формуле 2.

PB= Investments/ACF (2)

Где Investments – начальные инвестиции;

ACF – Annual Cash Flow (среднегодовая сумма чистого денежного потока).

Метод дисконтированного периода окупаемости (DPB)

Дисконтированный срок окупаемости (DPB) – срок окупаемости (см. выше), но с учетом дисконтирования.

Дисконтированный срок окупаемости DPB рассчитывается по формуле 3.

Дисконтированный срок окупаемости DPB рассчитывается по формуле 3. (3)

Где t — , t + - период когда наблюдался отрицательный и положительный NPV.

Индекс прибыльности, индекс рентабельности, индекс доходности, PI

Индекс прибыльности (profitability index, PI) – дисконтированная стоимость денежных поступлений от проекта (NPV) на единицу вложений. Показывает относительную прибыльность проекта.

Индекс прибыльности PI рассчитывается по формуле 4.

Индекс прибыльности PI рассчитывается по формуле 4. (4)

Значения PI:

Для эффективного проекта PI должен быть больше 1

Индексы доходности дисконтированных затрат и инвестиций превышают 1, если для этого потока NPV положителен.

Внутренняя норма рентабельности (IRR)

Внутренняя норма доходности, ВНД (Internal Rate of Return, IRR), % – значение ставки дисконтирования, при котором NPV = 0. В этой точке дисконтированный поток затрат равен дисконтированному потоку выгод (денежные оттоки равны денежным притокам, с учетом дисконта), т.е. она имеет экономический смысл дисконтированной «точки безубыточности».

Внутренняя норма доходности IRR рассчитывается по формуле 5.

Внутренняя норма доходности IRR рассчитывается по формуле 5. (5)

Точка безубыточности (BEP)

Точка безубыточности (break-even point, BEP) в денежном выражении — такая минимальная величина дохода, при которой полностью окупаются все издержки (прибыль при этом равна нулю). BEP рассчитывается по формуле 6.

(6)

Где TFC (total fixed costs) — величина постоянных издержек,

VC (unit variable cost) — величина переменных издержек на единицу продукции,

P (unit sale price) — стоимость единицы продукции (реализация),

C (unit contribution margin) — прибыль с единицы продукции без учета доли постоянных издержек (разница между стоимостью продукции (P) и переменными издержками на единицу продукции (VC)).

Основные финансовые показатели показаны в таблице 7.12:

Таблица 7.12 Показатели эффективности инвестиций

Показатели эффективности инвестиций

 

Чистый денежный поток NPV, рублей

 

Внутренняя норма доходности IRR (мес.), %

 

Индекс доходности PI, ед.

 

Период окупаемости PB, мес.

 

Дисконтированный период окупаемости DPB, мес.

 

Инвестиции в проект, рублей

 

Средняя рентабельность продаж по проекту, %

 

Ставка дисконтирования, %

 

По данным исследования видно, что проект являет выгодным. Он окупиться через …

На рисунке 7.2 показан график NPV проекта:

Рисунок 7.2 График NPV проекта

***

На графике NPV мы видим возрастание чистой приведенной стоимости проекта по годам его реализации.

Анализ рисков проекта

Качественный анализ рисков

Как и любая компания, функционирующая на рынке, данный проект находится в условиях рисков. Основные возможные риски вероятность их реализации, степень опасности и пути снижения рисков показаны в таблице 7.13:

Таблица 7.13 Основные риски проекта

Риск

Вероятность и степень опасности. Проявления негативного влияния

Средства нивелирования риска

Политические риски

Отказ / затягивание в получении документов на открытие юр. лица, аренды земли, получения лицензии и т.п.

Вероятность: средняя

Степень опасности: высокая

Влияние: срывы сроков реализации проекта

Качественная подготовка документации, мониторинг продвижения документов

     

Производственные и коммерческие риски

     
     
     

Рыночные риски

     
     

Приложения

Отчет о движении денежных средств по месяцам, тыс. руб.

50

Готовые бизнес-планы по теме «Продовольствие и пищевая промышленность»

Ольга Симонова
Ольга Симонова
Менеджер проектов

Ольга специализируется на проектах по маркетинговым исследованиям, бизнес-планам и стратегическому консалтингу.

Обзоры отраслевых рынков от агентства MegaResearch

все обзоры
Рынок куриных яиц России и структура племенной (родительской) базы у отечественных производителей пищевых яиц
28.04.2026
Рынок куриных яиц России и структура племенной (родительской) базы у отечественных производителей пищевых яиц

Российский рынок куриных яиц — один из крупнейших в мире. По данным Росстата, в 2025 году производство пищевых яиц в РФ продолжило рост — в сельскохозяйственных организациях их было произведено 40,4 млрд шт., что больше показателей 2024 г. (38,1 млрд шт.) и 2023 г. (38 млрд шт.). При этом, по данным Минсельхоза России, масштабы отечественного производства позволяют не только полностью удовлетворить спрос прямых внутренних потребителей и предприятий по переработке, но и продавать значительные объемы продукции за рубеж.

Ключевые тренды на рынке облачных сервисов в России в 2025–2026 гг.: куда на самом деле движется инфраструктура бизнеса
23.04.2026
Ключевые тренды на рынке облачных сервисов в России в 2025–2026 гг.: куда на самом деле движется инфраструктура бизнеса

Российский рынок облачных сервисов уже вышел из стадии, когда компании массово переносили свои ресурсы и данные в облако для сокращения затрат на обслуживание оборудования и получения дополнительной гибкости при изменении объемов цифрового трафика и нагрузки на сеть. Сейчас бизнес уже не выбирает между облаком и собственной инфраструктурой — он управляет их сочетанием, балансируя между стоимостью, рисками, требованиями регуляторов и доступностью технологий. Мы уже рассматривали динамику и структуру этого рынка по основным продуктам, поэтому здесь приведем основные тренды, которые будут определять его развитие в ближайшей перспективе.

Анализ спроса на маркетплейсах: какие инсайты дают исследования и как их использовать брендам для увеличения продаж
21.04.2026
Анализ спроса на маркетплейсах: какие инсайты дают исследования и как их использовать брендам для увеличения продаж

Сегодня маркетплейсы живут в режиме «здесь и сейчас»: спрос на товары может меняться буквально за несколько дней. Причинами становятся разные факторы — сезонность, тренды, экономическая ситуация, а иногда и один вирусный ролик в социальных сетях, запускающий ажиотаж. Если вчера покупатель искал люксовые помады «как у любимого блогера», сегодня он выбирает экологичные губки для посуды, а завтра его внимание захватит новый тренд из «VK Видео». Такая динамика — одновременно вызов и возможность. На примере реального кейса показываем, как анализ спроса на маркетплейсах дает брендам, способным оперативно реагировать на изменения, значительное конкурентное преимущество.

Где заканчиваются данные и начинается интерпретация: главные ошибки в анализе данных в e-commerce
16.04.2026
Где заканчиваются данные и начинается интерпретация: главные ошибки в анализе данных в e-commerce

На первый взгляд в e-commerce все лежит на поверхности и легко измеримо: клики, конверсия, показатели по возвратам и т. п. Но за кажущейся простотой скрывается риск ошибочной интерпретации данных. Причина проста: показатели, цифры хорошо измеряют и отражают то, что произошло, но не дают понимания, почему это произошло. Например, отчет содержит информацию о том, что конверсия по карточке товара снизилась с 3,8% до 3,1%. Аналитик делает вывод, что проблема заключается в новом фото или в описании карточки и предлагает менять ее дизайн. Но в реальности причина может быть связана с ростом цены, изменением источника трафика или с сезонными колебаниями спроса. В e-commerce ошибки в анализе данных особенно опасны, т. к. любое неверное решение очень быстро повлияет на выручку.

Анализ рынка картофеля и основные тенденции на рынке семенного картофеля в России
14.04.2026
Анализ рынка картофеля и основные тенденции на рынке семенного картофеля в России

Картофель входит в число базовых продовольственных культур, обеспечивающих устойчивый спрос и стабильную загрузку аграрного производства в странах с высоким уровнем развития сельского хозяйства. Рынок картофеля в России формально остается одним из крупнейших в мире по объемам сбора урожая, при этом ключевым фактором его развития является наличие качественного исходного материала — семенного фонда. При текущем уровне самообеспеченности и сохраняющейся зависимости от импорта именно сегмент семенного картофеля остается критическим ограничением для производителей и инвесторов.

Дефицит кадров в АПК: почему обучение агрономов перестало работать и кто в зоне риска
09.04.2026
Дефицит кадров в АПК: почему обучение агрономов перестало работать и кто в зоне риска

Аграрный сектор сегодня — это высокотехнологичная отрасль, которая использует цифровые платформы, внедряет точное земледелие и работает со сложной техникой. Но есть одно «узкое горлышко», которое тормозит развитие даже самых оснащенных холдингов: дефицит кадров в АПК. Причем вопрос здесь не в количестве дипломов, а в реальной квалификации специалистов на земле. Рынок столкнулся с парадоксом: вакансий много, а работать некому.

Рынок недвижимости России в 2026 году: сценарии развития, цены и изменение спроса
07.04.2026
Рынок недвижимости России в 2026 году: сценарии развития, цены и изменение спроса

Развитие рынка недвижимости в России в 2026 году определяется стоимостью заемных средств и доступностью адресных ипотечных программ, которые напрямую задают уровень платежеспособности покупателей. На этом фоне сделки концентрируются в проектах, в которых можно заранее просчитать финансовую нагрузку на весь период платежей и предлагаются удобные условия оплаты. Девелоперы перестраивают предложение с учетом этих тенденций, а покупатели принимают решения исходя из ограничений собственного бюджета, а также предлагаемых условий и сроков ипотечного договора.

Российский рынок соевого масла: динамика производства, экспорта и перераспределение спроса
02.04.2026
Российский рынок соевого масла: динамика производства, экспорта и перераспределение спроса

Рынок соевого масла в России в последние годы развивается быстрее, чем многие смежные сегменты отрасли переработки масличных культур. Главные причины — наличие больших запасов сырья и рост спроса в связи с более низкой, чем у товаров-конкурентов, ценой. Хотя этот рынок исторически ориентирован на экспорт, внутреннее потребление растет и компенсирует снижение объемов поставок за рубеж.

Рынок удобрений 2026: аграрии сказали свое слово. Готовы ли производители их услышать?
31.03.2026
Рынок удобрений 2026: аграрии сказали свое слово. Готовы ли производители их услышать?

Российский рынок удобрений динамично развивается, продуктовый ассортимент формируют запросы аграриев на эффективность и устойчивость растений к воздействию климатических факторов, болезней и вредителей. Кроме того, производители сталкиваются с необходимостью создавать продукты, которые повышают урожайность при минимальном экологическом воздействии на почву. Наши аналитики изучили предпочтения аграриев и выявили ключевые тренды и возможности оптимизации ассортимента для достижения успеха на этом рынке в 2026 году.

Рынок труда в логистике: управление дефицитом и формирование цифровой кадровой структуры
26.03.2026
Рынок труда в логистике: управление дефицитом и формирование цифровой кадровой структуры

В 2026 году кадровая политика в логистической отрасли усложнилась: компании работают в условиях устойчивого дефицита и вынуждены разрабатывать целые комбинации стратегий для привлечения персонала. При этом рынок труда в логистике становится неоднородным: на некоторые массовые позиции конкуренция за вакансии и рабочие места еще сохраняется, в то время как за узких специалистов с высоким уровнем цифровых компетенций идет острая борьба среди работодателей